Submitted:
05 February 2026
Posted:
20 February 2026
You are already at the latest version
Abstract
Keywords:
1. Introduction and Related Work
2. Hypergraphs and Steiner Trees
3. Bases of the Proposed Solutions
3.1. Connections and Distances

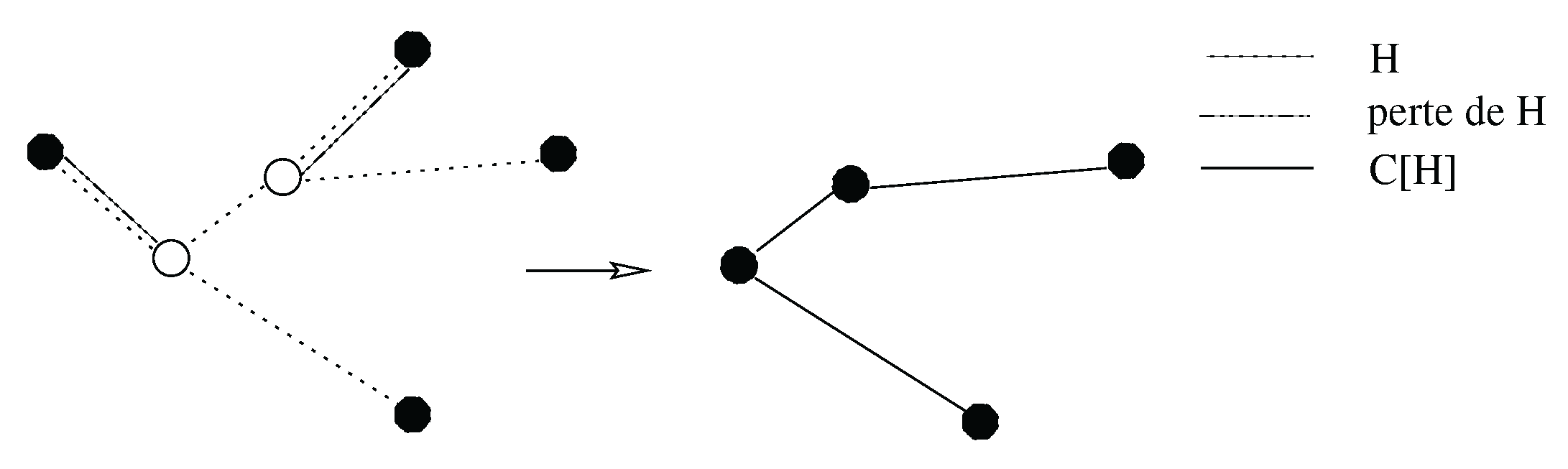
4. Hypergraph Model and Metric Closure
- 1.
- For the set of nodes M, construct the k-limited hyper metric closure . For the integer values i from 2 to k, compute all i-tuples. Associate the cost of corresponding sub-trees with the hyperedges. Remember that, for a given value i, there are tuples to create.
- 2.
- Find the coverage of M with minimal cost using the best combination of the hyperedges. To do this, all sets of connected hyperedges covering M must be enumerated, and the best cost set must be selected.
- 1.
- Starting from an arbitrary node in M, a first subset of M is determined: the nearest nodes in M are added to the first one to form a set . A first hyperedge is then created on the set and the Steiner tree covering is associated with it.
- 2.
- At each step of the suite, the tree corresponding to the last hyperedge is examined. To create a new connected hyperedge, a leaf from this hyperedge is selected, and the nearest not yet covered nodes of M are added to this one to form the next hyperedge. Since one leaf of the previous hyperedge belongs to the new hyperedge, a chain is created. The construction ends when all nodes of M are covered.
5. Conclusions
Appendix A. Definitions, Related Notions




References
- Hwang, F.; Richards, D.; Winter, P. The Steiner tree problem . In Annals of discrete mathematics; North-Holland: Amsterdam, 1992; p. 53. [Google Scholar]
- Kruskal, J.B. On the Shortest Spanning Subtree of a Graph and the Traveling Salesman Problem. Proceedings of the American Mathematical Society 1956, 7, 48–50. [Google Scholar] [CrossRef]
- Prim, R.C. Shortest connection networks and some generalizations. The Bell System Technical Journal 1957, 36, 1389–1401. [Google Scholar] [CrossRef]
- Takahashi, H.; Matsuyama, A. An approximate solution for the Steiner problem in graphs. Math. Japonica 1981, 24. [Google Scholar]
- Kou, L.; Markowsky, G.; Berman, L. A fast algorithm for Steiner trees. Acta Inform. 1981, 15, 141–145. [Google Scholar] [CrossRef]
- Zelikovsky, A. An 11/6-Approximation Algorithm for the Steiner Problem on Graphs. In Fourth Czechoslovakian Symposium on Combinatorics, Graphs and Complexity;Annals of Discrete Mathematics; Neŝetril, J., Fiedler, M., Eds.; Elsevier, 1992; Vol. 51, pp. 351–354. [Google Scholar] [CrossRef]
- Zelikovsky, A. Better approximation bounds for the network and Euclidean Steiner tree problems. Technical report, University of Virginia Charlottesville, VA, United States, 1996. [Google Scholar]
- Karpinski, M.; Zelikovsky, A. New Approximation Algorithms for the Steiner Tree Problems. Journal of Combinatorial Optimization 1997, 1, 47–65. [Google Scholar] [CrossRef]
- Du, D.Z.; Zhang, Y.; Feng, Q. On better heuristic for Euclidean Steiner minimum trees. In Proceedings of the [1991] Proceedings 32nd Annual Symposium of Foundations of Computer Science, 1991; pp. 431–439. [Google Scholar] [CrossRef]
- Du, D.Z.; Zhang, Y. On better heuristics for Steiner minimum trees. Mathematical Programming 1992, 57, 193–202. [Google Scholar] [CrossRef]
- Berman, P.; Ramaiyer, V. Improved Approximations for the Steiner Tree Problem. Journal of Algorithms 1994, 17, 381–408. [Google Scholar] [CrossRef]
- Robins, G.; Zelikovsky, A. Tighter Bounds for Graph Steiner Tree Approximation. SIAM Journal on Discrete Mathematics 2005, 19, 122–134. [Google Scholar] [CrossRef]
- Byrka, J.; Grandoni, F.; Rothvoß, T.; Sanità, L. An improved LP-based approximation for steiner tree. In Proceedings of the Proceedings of the Forty-Second ACM Symposium on Theory of Computing, New York, NY, USA, 2010; STOC ’10, pp. 583–592. [Google Scholar] [CrossRef]
- Ljubić, I. Solving Steiner trees: Recent advances, challenges, and perspectives. Networks 2021, 77, 177–204. Available online: https://onlinelibrary.wiley.com/doi/pdf/10.1002/net.22005. [CrossRef]
- Warme, D. A new exact algorithm for rectilinear Steiner trees. Proceedings of the Network Design: Connectivity and Facilities Location, DIMACS Series in Discrete Mathematics and Theoretical Computer Science 1997, Vol. 40, 357–395. [Google Scholar]
- Warme, D.M. Spanning trees in hypergraphs with applications to Steiner trees. PhD thesis, USA, 1998. [Google Scholar] [CrossRef]
- Prömel, H.J.; Steger, A. A New Approximation Algorithm for the Steiner Tree Problem with Performance Ratio 5/3. Journal of Algorithms 2000, 36, 89–101. [Google Scholar] [CrossRef]
- Kaufmann, M.; van Kreveld, M.; Speckmann, B. Subdivision Drawings of Hypergraphs. In Proceedings of the Graph Drawing; Tollis, I.G., Patrignani, M., Eds.; Berlin, Heidelberg, 2009; pp. 396–407. [Google Scholar]
- Brazil, M.; Zachariasen, M. Steiner Trees in Graphs and Hypergraphs. In Optimal Interconnection Trees in the Plane: Theory, Algorithms and Applications; Springer International Publishing: Cham, 2015; pp. 301–317. [Google Scholar] [CrossRef]
- Polzin, T.; Daneshmand, S.V. On Steiner trees and minimum spanning trees in hypergraphs. Operations Research Letters 2003, 31, 12–20. [Google Scholar] [CrossRef]
- Molnar, M. Construction d’arbres de diffusion multicast basée sur une modification de l’heuristique de Kruskal. Technical Report 3587, INRIA, France, 1998.
- Marie, R.; Molnar, M. Arbre couvrant partiel pseudo-optimal pour diffusion multipoint. Technical Report 3636, INRIA, France, 1999.
- Molnar, M. Hypergraphs to Cover Trees. (submitted) 2026.





Disclaimer/Publisher’s Note: The statements, opinions and data contained in all publications are solely those of the individual author(s) and contributor(s) and not of MDPI and/or the editor(s). MDPI and/or the editor(s) disclaim responsibility for any injury to people or property resulting from any ideas, methods, instructions or products referred to in the content. |
© 2026 by the authors. Licensee MDPI, Basel, Switzerland. This article is an open access article distributed under the terms and conditions of the Creative Commons Attribution (CC BY) license (http://creativecommons.org/licenses/by/4.0/).