Submitted:
14 December 2023
Posted:
14 December 2023
You are already at the latest version
Abstract
Keywords:
1. Introduction
2. MAGIC strategies in observing AGNs
2.1. MAGIC characteristics
- Active mirror surface of 236 m2, made of square elements 49.5×49.5 cm or 99×99 cm; f/D (focal length to diameter ratio) = 1.03;
- Support frame of carbon fibre made for minimum weight and maximum stiffness;
- Approximately hexagonal camera of 1.05 m diameter, with 1039 PMTs of 1" (or 0.1 degree) diameter each; all PMTs have an effective quantum efficiency of 25 to 35%, depending on wavelength; The camera is kept as light as possible, held by an aluminium support arc, stiffened by a web of thin steel cables;
- The maximum repositioning speed is more than 7 degrees per second, meaning the telescopes can be pointed to any point on the observable sky in less than 25 seconds (due to a weight of only around 60 tons);
- Analog signals are transmitted from the camera to the counting house via optical fibres; only the amplifiers and laser diode modulators for transmission are inside the camera housing;
- Digitization is achieved by the Domino Ring Sampler (DRS4) chip with a sampling frequency of 1.64 GHz, to make use of the timing information in the pulse.

2.2. Observational strategies
3. Results
3.1. MAGIC discoveries in the VHE gamma-ray range
3.2. Sources at high redshift and EBL studies
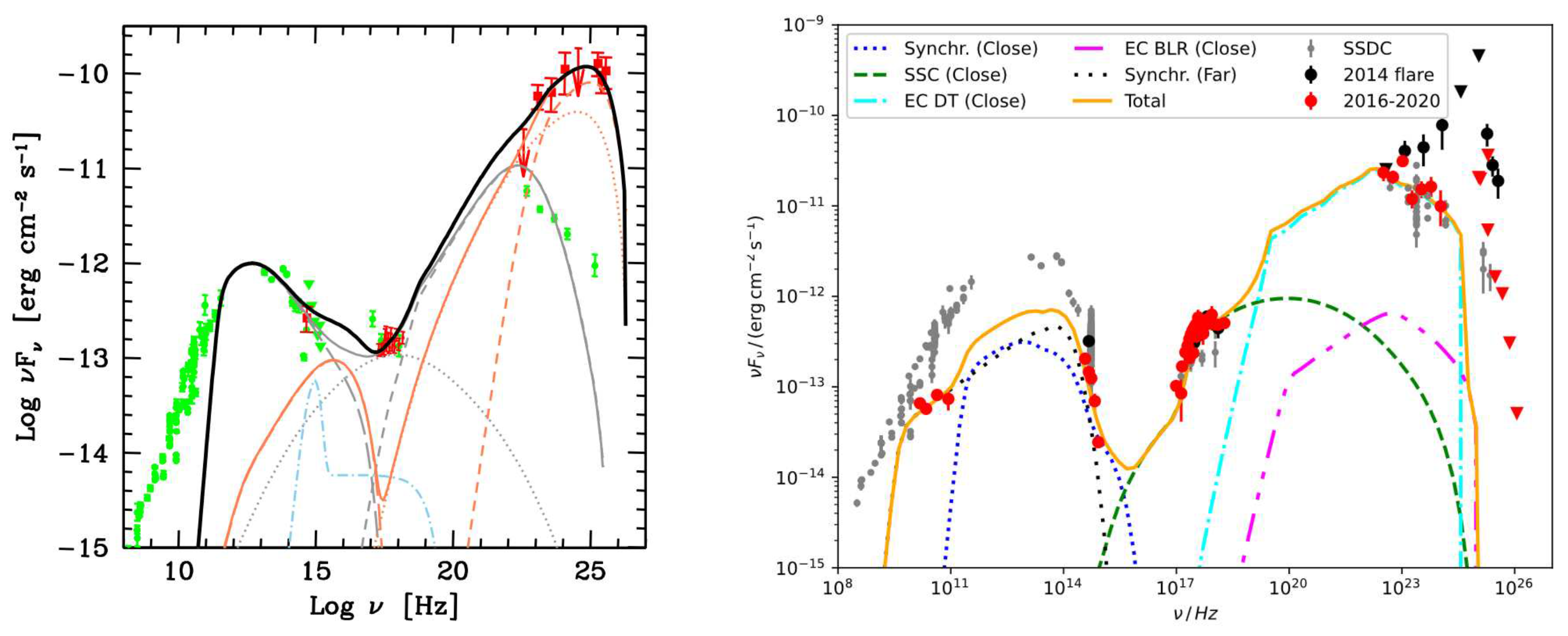
3.3. Flat Spectrum Radio quasars
3.4. Transitional blazars
3.5. Extreme sources
3.6. Black-hole lightening: IC310
3.7. Neighbour accelerators: Markarians at VHE gamma-rays
3.8. Long-term Monitoring campaigns
3.9. Multi-messenger studies
4. Conclusions
Author Contributions
Informed Consent Statement
Acknowledgments
Conflicts of Interest
Abbreviations
| MDPI | Multidisciplinary Digital Publishing Institute |
| DOAJ | Directory of open access journals |
| AGN | Active Galactic Nucleus |
| AGNs | Active Galactic Nuclei |
| EBL | Extragalactic Background Light |
| LIDAR | LIght Detection And Ranging |
| MAGIC | Major Atmospheric Gamma-ray Imaging Cherenkov (telescopes) |
| IACTs | Imaging Atmospheric Cherenkov Telescopes |
| HE | High-energy |
| VHE | Very-high-energy |
| MWL | Multi-wavelength |
| MM | Multi-messenger |
| SED | Spectral Energy Distribution |
| FSRQ | Flat Spectrum Radio Quasar |
| BL Lacs | BL Lacertae type objects |
| f.o.v | Field of view |
| MJD | Modified Julian Date |
| ToO | Target of Opportunity |
| SSC | Synchrotron self-Compton |
References
- Padovani, P. On the two main classes of active galactic nuclei. Nature Astronomy 2017, arXiv:astro-ph.GA/1707.08069]1, 0194. [Google Scholar] [CrossRef]
- Ghisellini, G.; Righi, C.; Costamante, L.; Tavecchio, F. The Fermi blazar sequence. 469, arXiv:astro-ph.HE/1702.02571]. [CrossRef]
- Bose, D.; Chitnis, V.R.; Majumdar, P.; Acharya, B.S. Ground-based gamma-ray astronomy: history and development of techniques. European Physical Journal Special Topics 2022, arXiv:astro-ph.IM/2201.04719]231, 3–26. [Google Scholar] [CrossRef]
- de Naurois, M.; Mazin, D. Ground-based detectors in very-high-energy gamma-ray astronomy. Comptes Rendus Physique 2015, arXiv:astro-ph.IM/1511.00463]16, 610–627. [Google Scholar] [CrossRef]
- Aharonian, F.; Buckley, J.; Kifune, T.; Sinnis, G. High energy astrophysics with ground-based gamma ray detectors. Reports on Progress in Physics 2008, 71, 096901. [Google Scholar] [CrossRef]
- Dazzi, F.; Schweizer, T.; Ceribella, G.; Corti, D.; Dettlaff, A.; Garcia, J.R.; Hafner, D.; Herranz, D.; Lopez-Moya, M.; Mariotti, M.; et al. The Stereoscopic Analog Trigger of the MAGIC Telescopes. IEEE Transactions on Nuclear Science 2021, 68, 1473–1486. [Google Scholar] [CrossRef]
- MAGIC Collaboration. ; Acciari, V.A.; Ansoldi, S.; Antonelli, L.A.; Arbet Engels, A.; Asano, K.; Baack, D.; Babić, A.; Baquero, A.; Barres de Almeida, U.; et al. Detection of the Geminga pulsar with MAGIC hints at a power-law tail emission beyond 15 GeV. 2020, arXiv:astro-ph.HE/2011.10412]643, L14. [CrossRef]
- Aleksić, J.; Ansoldi, S.; Antonelli, L.A.; Antoranz, P.; Babic, A.; Bangale, P.; Barceló, M.; Barrio, J.A.; Becerra González, J.; Bednarek, W.; et al. The major upgrade of the MAGIC telescopes, Part II: A performance study using observations of the Crab Nebula. Astroparticle Physics 2016, arXiv:astro-ph.IM/1409.5594]72, 76–94. [Google Scholar] [CrossRef]
- Aleksić, J.; Ansoldi, S.; Antonelli, L.A.; Antoranz, P.; Babic, A.; Bangale, P.; Barceló, M.; Barrio, J.A.; Becerra González, J.; Bednarek, W.; et al. The major upgrade of the MAGIC telescopes, Part I: The hardware improvements and the commissioning of the system. Astroparticle Physics 2016, arXiv:astro-ph.IM/1409.6073]72, 61–75. [Google Scholar] [CrossRef]
- Pecimotika, M.; Dominis Prester, D.; Hrupec, D.; Mićanović, S.; Pavletić, L.; Sitarek, J. Performance and systematic uncertainties of CTA-North in conditions of reduced atmospheric transmission. 2023, arXiv:astro-ph.IM/2302.02211]. [CrossRef]
- Fruck, C.; Gaug, M.; Hahn, A.; Acciari, V.; Besenrieder, J.; Dominis Prester, D.; Dorner, D.; Fink, D.; Font, L.; Mićanović, S.; et al. Characterizing the aerosol atmosphere above the Observatorio del Roque de los Muchachos by analysing seven years of data taken with an GaAsP HPD-readout, absolutely calibrated elastic LIDAR. 515, 4520; arXiv:astro-ph.IM/2202.09561]. [Google Scholar] [CrossRef]
- Schmuckermaier, F.; Gaug, M.; Fruck, C.; Moralejo, A.; Hahn, A.; Dominis Prester, D.; Dorner, D.; Font, L.; Mićanović, S.; Mirzoyan, R.; et al. Correcting Imaging Atmospheric Cherenkov Telescope data with atmospheric profiles obtained with an elastic light detecting and ranging system. 673, A2, arXiv:astro-ph.IM/2302.12072]. [CrossRef]
- Vestergaard, M.; Peterson, B.M. Determining Central Black Hole Masses in Distant Active Galaxies and Quasars. II. Improved Optical and UV Scaling Relationships. 2006, 641, 689–709. [Google Scholar] [CrossRef]
- Acciari, V.A.; Ansoldi, S.; Antonelli, L.A.; Engels, A.A.; Asano, K.; Baack, D.; Babić, A.; Banerjee, B.; Barres de Almeida, U.; Barrio, J.A.; et al. New Hard-TeV Extreme Blazars Detected with the MAGIC Telescopes. 247, 16, arXiv:astro-ph.HE/1911.06680]. [CrossRef]
- Albert, J.; Aliu, E.; Anderhub, H.; Antoranz, P.; Armada, A.; Asensio, M.; Baixeras, C.; Barrio, J.A.; Bartko, H.; Bastieri, D.; et al. Discovery of Very High Energy γ-Rays from Markarian 180 Triggered by an Optical Outburst. 2006, 648, L105–L108, [arXiv:astro-ph/astro-ph/0606630]. [CrossRef]
- Aleksić, J.; Antonelli, L.A.; Antoranz, P.; Asensio, M.; Backes, M.; Barres de Almeida, U.; Barrio, J.A.; Becerra González, J.; Bednarek, W.; Berger, K.; et al. Discovery of very high energy gamma-ray emission from the blazar 1ES 1727+502 with the MAGIC Telescopes. 563, A90, arXiv:astro-ph.HE/1302.6140]. [CrossRef]
- MAGIC Collaboration. ; Acciari, V.A.; Ansoldi, S.; Antonelli, L.A.; Arbet Engels, A.; Baack, D.; Babić.; , A.; Banerjee, B.; Barres de Almeida, U.; Barrio, J.A.; et al. Testing emission models on the extreme blazar 2WHSP J073326.7+515354 detected at very high energies with the MAGIC telescopes. 2019, arXiv:astro-ph.HE/1909.11621]490, 2284–2299. [CrossRef]
- Ahnen, M.L.; Ansoldi, S.; Antonelli, L.A.; Antoranz, P.; Arcaro, C.; Babic, A.; Banerjee, B.; Bangale, P.; Barres de Almeida, U.; Barrio, J.A.; et al. MAGIC detection of very high energy γ-ray emission from the low-luminosity blazar 1ES 1741+196. 468, 1534; arXiv:astro-ph.HE/1702.06795]. [Google Scholar] [CrossRef]
- Blanch, O. Detection of very-high-energy gamma-ray emission from B2 1811+31 with the MAGIC telescopes. The Astronomer’s Telegram 2020, 14090, 1. [Google Scholar]
- Aleksić, J.; Alvarez, E.A.; Antonelli, L.A.; Antoranz, P.; Asensio, M.; Backes, M.; Barrio, J.A.; Bastieri, D.; Becerra González, J.; Bednarek, W.; et al. Discovery of VHE γ-ray emission from the BL Lacertae object B3 2247+381 with the MAGIC telescopes. 539, arXiv:astro-ph.HE/1201.2634]. [CrossRef]
- Acciari, V.A.; Ansoldi, S.; Antonelli, L.A.; Arbet Engels, A.; Artero, M.; Asano, K.; Baack, D.; Babić, A.; Baquero, A.; Barres de Almeida, U.; et al. First detection of VHE gamma-ray emission from TXS 1515-273, study of its X-ray variability and spectral energy distribution. 507, 1528; arXiv:astro-ph.HE/2107.09413]. [Google Scholar] [CrossRef]
- Aleksić, J.; Alvarez, E.A.; Antonelli, L.A.; Antoranz, P.; Ansoldi, S.; Asensio, M.; Backes, M.; Barres de Almeida, U.; Barrio, J.A.; Bastieri, D.; et al. Discovery of VHE γ-rays from the blazar 1ES 1215+303 with the MAGIC telescopes and simultaneous multi-wavelength observations. 544, arXiv:astro-ph.HE/1203.0490]. [CrossRef]
- Mirzoyan, R. Discovery of Very High Energy Gamma-Ray Emission from BL Lac object RX J1136.5+6737 by the MAGIC Telescopes. The Astronomer’s Telegram 2014, 6062, 1. [Google Scholar]
- Aleksić, J.; Ansoldi, S.; Antonelli, L.A.; Antoranz, P.; Babic, A.; Bangale, P.; Barres de Almeida, U.; Barrio, J.A.; Becerra González, J.; et al. First broadband characterization and redshift determination of the VHE blazar MAGIC J2001+439. 572, arXiv:astro-ph.HE/1409.3389]. [CrossRef]
- Albert, J.; Aliu, E.; Anderhub, H.; Antoranz, P.; Armada, A.; Asensio, M.; Baixeras, C.; Barrio, J.A.; Bartelt, M.; Bartko, H.; et al. Discovery of Very High Energy Gamma Rays from 1ES 1218+30. 4. 2006, 642, L119–L122. [Google Scholar] [CrossRef]
- Aleksić, J.; Antonelli, L.A.; Antoranz, P.; Babic, A.; Barres de Almeida, U.; Barrio, J.A.; Becerra González, J.; Bednarek, W.; Berger, K.; Bernardini, E.; et al. Rapid and multiband variability of the TeV bright active nucleus of the galaxy IC 310. 563, A91, arXiv:astro-ph.HE/1305.5147]. [CrossRef]
- Albert, J.; Aliu, E.; Anderhub, H.; Antoranz, P.; Armada, A.; Baixeras, C.; Barrio, J.A.; Bartko, H.; Bastieri, D.; Becker, J.K.; et al. Discovery of Very High Energy γ-Rays from 1ES 1011+496 at z = 0. 212. 2007, arXiv:astro-ph/0706.4435]667, L21–L24. [Google Scholar] [CrossRef]
- Ahnen, M.L.; Ansoldi, S.; Antonelli, L.A.; Antoranz, P.; Babic, A.; Banerjee, B.; Bangale, P.; Barres de Almeida, U.; Barrio, J.A.; Becerra González, J.; et al. MAGIC observations of the 14 flare of 1ES 1011+496 and ensuing constraint of the EBL density. 590, 20 February; A24, arXiv:astro-ph.HE/1602.05239]. [CrossRef]
- Ahnen, M.L.; Ansoldi, S.; Antonelli, L.A.; Antoranz, P.; Babic, A.; Banerjee, B.; Bangale, P.; Barres de Almeida, U.; Barrio, J.A.; Becerra González, J.; et al. Multiwavelength observations of the blazar 1ES 1011+496 in Spring 2008. 459, 2286; arXiv:astro-ph.HE/1603.07308]. [Google Scholar] [CrossRef]
- Aleksić, J.; Ansoldi, S.; Antonelli, L.A.; Antoranz, P.; Arcaro, C.; Babic, A.; Bangale, P.; Barres de Almeida, U.; Barrio, J.A.; Becerra González, J.; et al. Insights into the emission of the blazar 1ES 1011+496 through unprecedented broadband observations during 2011 and 2012. 591, A10, arXiv:astro-ph.HE/1603.06776]. [CrossRef]
- Cortina, J. Discovery of Very High Energy Gamma-Ray Emission from MS1221.8+2452 with the MAGIC telescopes. The Astronomer’s Telegram 2013, 5038, 1. [Google Scholar]
- Ahnen, M.L.; Ansoldi, S.; Antonelli, L.A.; Antoranz, P.; Babic, A.; Banerjee, B.; Bangale, P.; Barres de Almeida, U.; Barrio, J.A.; Becerra González, J.; et al. Investigating the peculiar emission from the new VHE gamma-ray source H1722+119. 459, 3271; arXiv:astro-ph.HE/1603.06523]. [Google Scholar] [CrossRef]
- MAGIC Collaboration. ; Acciari, V.A.; Aniello, T.; Ansoldi, S.; Antonelli, L.A.; Arbet Engels, A.; Arcaro, C.; Artero, M.; Asano, K.; Baack, D.; et al. Long-term multi-wavelength study of 1ES 0647+250. 2023, arXiv:astro-ph.HE/2211.13268]670, A49. [CrossRef]
- Readhead, A.C.S.; Ravi, V.; Liodakis, I.; Lister, M.L.; Singh, V.; Aller, M.F.; Blandford, R.D.; Browne, I.W.A.; Gorjian, V.; Grainge, K.J.B.; et al. The Relativistic Jet Orientation and Host Galaxy of the Peculiar Blazar PKS 1413+135. 907, 61, arXiv:astro-ph.GA/2012.04045]. [CrossRef]
- Blanch, O.; Sitarek, J.; Striskovic, J. First detection of very-high-energy gamma-ray emission from PKS1413+135 with the MAGIC telescopes. The Astronomer’s Telegram 2022, 15161, 1. [Google Scholar]
- Anderhub, H.; Antonelli, L.A.; Antoranz, P.; Backes, M.; Baixeras, C.; Balestra, S.; Barrio, J.A.; Bastieri, D.; Becerra González, J.; Becker, J.K.; et al. Discovery of very High Energy γ-Rays from the Blazar S5 0716+714. 704, arXiv:astro-ph.CO/0907.2386]. [CrossRef]
- MAGIC Collaboration. ; Ahnen, M.L.; Ansoldi, S.; Antonelli, L.A.; Arcaro, C.; Baack, D.; Babić, A.; Banerjee, B.; Bangale, P.; Barres de Almeida, U.; et al. Multi-wavelength characterization of the blazar S5 0716+714 during an unprecedented outburst phase. 2018, arXiv:astro-ph.HE/1807.00413]619, A45. [CrossRef]
- IceCube Collaboration. ; Aartsen, M.G.; Ackermann, M.; Adams, J.; Aguilar, J.A.; Ahlers, M.; Ahrens, M.; Al Samarai, I.; Altmann, D.; Andeen, K.; et al. Multimessenger observations of a flaring blazar coincident with high-energy neutrino IceCube-170922A. Science 2018, arXiv:astro-ph.HE/1807.08816]361, eaat1378. [Google Scholar] [CrossRef]
- Ansoldi, S.; Antonelli, L.A.; Arcaro, C.; Baack, D.; Babić, A.; Banerjee, B.; Bangale, P.; Barres de Almeida, U.; Barrio, J.A.; Becerra González, J.; et al. The Blazar TXS 0506+056 Associated with a High-energy Neutrino: Insights into Extragalactic Jets and Cosmic-Ray Acceleration. 863, L10, arXiv:astro-ph.HE/1807.04300]. [CrossRef]
- MAGIC Collaboration. ; Ansoldi, S.; Antonelli, L.A.; Arcaro, C.; Baack, D.; Babić.; , A.; Banerjee, B.; Bangale, P.; Barres de Almeida, U.; Barrio, J.A.; et al. The broad-band properties of the intermediate synchrotron peaked BL Lac S2 0109+22 from radio to VHE gamma-rays. 2018, arXiv:astro-ph.HE/1807.02095]480, 879–892. [CrossRef]
- MAGIC Collaboration. ; Ahnen, M.L.; Ansoldi, S.; Antonelli, L.A.; Arcaro, C.; Baack, D.; Babić, A.; Banerjee, B.; Bangale, P.; Barres de Almeida, U.; et al. Detection of the blazar S4 0954+65 at very-high-energy with the MAGIC telescopes during an exceptionally high optical state. 2018, arXiv:astro-ph.HE/1801.04138]617, A30. [CrossRef]
- Aleksić, J.; Antonelli, L.A.; Antoranz, P.; Backes, M.; Barrio, J.A.; Bastieri, D.; Becerra González, J.; Bednarek, W.; Berdyugin, A.; Berger, K.; et al. MAGIC Discovery of Very High Energy Emission from the FSRQ PKS 1222+21. 730, L8, arXiv:astro-ph.HE/1101.4645]. [CrossRef]
- Aleksić, J.; Ansoldi, S.; Antonelli, L.A.; Antoranz, P.; Babic, A.; Bangale, P.; Barres de Almeida, U.; Barrio, J.A.; Becerra González, J.; Bednarek, W.; et al. Discovery of very high energy γ-ray emission from the blazar 1ES 0033+595 by the MAGIC telescopes. 446, arXiv:astro-ph.HE/1410.7059]. [CrossRef]
- Massaro, F.; Masetti, N.; D’Abrusco, R.; Paggi, A.; Funk, S. Optical Spectroscopic Observations of Blazars and γ-Ray Blazar Candidates in the Sloan Digital Sky Survey Data Release Nine. 148, 66, arXiv:astro-ph.HE/1503.03868]. [CrossRef]
- Blanch, O. Detection of very-high-energy gamma-ray emission from GB6 J1058+2817 with the MAGIC telescopes. The Astronomer’s Telegram 2021, 14506, 1. [Google Scholar]
- MAGIC Collaboration. ; Albert, J.; Aliu, E.; Anderhub, H.; Antonelli, L.A.; Antoranz, P.; Backes, M.; Baixeras, C.; Barrio, J.A.; Bartko, H.; et al. Very-High-Energy gamma rays from a Distant Quasar: How Transparent Is the Universe? Science 2008, arXiv:astro-ph/0807.2822]320, 1752. [Google Scholar] [CrossRef] [PubMed]
- Aleksić, J.; Antonelli, L.A.; Antoranz, P.; Backes, M.; Barrio, J.A.; Bastieri, D.; Becerra González, J.; Bednarek, W.; Berdyugin, A.; Berger, K.; et al. MAGIC Observations and multiwavelength properties of the quasar 3C 279 in 2007 and 2009. 530, A4, arXiv:astro-ph.CO/1101.2522]. [CrossRef]
- Aleksić, J.; Ansoldi, S.; Antonelli, L.A.; Antoranz, P.; Babic, A.; Bangale, P.; Barres de Almeida, U.; Barrio, J.A.; Becerra González, J.; Bednarek, W.; et al. MAGIC observations and multifrequency properties of the flat spectrum radio quasar <ASTROBJ>3C 279</ASTROBJ> in 2011. 567, A41, arXiv:astro-ph.HE/1311.2833]. [CrossRef]
- MAGIC Collaboration. ; Acciari, V.A.; Ansoldi, S.; Antonelli, L.A.; Arbet Engels, A.; Artero, M.; Asano, K.; Baack, D.; Babić, A.; Baquero, A.; Barres de Almeida, U.; et al. VHE gamma-ray detection of FSRQ QSO B1420+326 and modeling of its enhanced broadband state in 2020. 2021, arXiv:astro-ph.HE/2012.11380]647, A163. [CrossRef]
- Mirzoyan, R. Detection of very-high-energy gamma-ray emission from the FSRQ Ton 0599 with the MAGIC telescopes. The Astronomer’s Telegram 2017, 11061, 1. [Google Scholar]
- Ahnen, M.L.; Ansoldi, S.; Antonelli, L.A.; Antoranz, P.; Babic, A.; Banerjee, B.; Bangale, P.; Barres de Almeida, U.; Barrio, J.A.; Bednarek, W.; et al. Very High Energy γ-Rays from the Universe’s Middle Age: Detection of the z = 0. 940 Blazar PKS 1441+25 with MAGIC. 2015, arXiv:astro-ph.GA/1512.04435]815, L23. [Google Scholar] [CrossRef]
- Ahnen, M.L.; Ansoldi, S.; Antonelli, L.A.; Antoranz, P.; Arcaro, C.; Babic, A.; Banerjee, B.; Bangale, P.; Barres de Almeida, U.; Barrio, J.A.; et al. Detection of very high energy gamma-ray emission from the gravitationally lensed blazar QSO B0218+357 with the MAGIC telescopes. 595, A98, arXiv:astro-ph.HE/1609.01095]. [CrossRef]
- Acciari, V.A.; Ansoldi, S.; Antonelli, L.A.; Arbet Engels, A.; Artero, M.; Asano, K.; Baack, D.; Babić, A.; Baquero, A.; Barres de Almeida, U.; et al. Multiwavelength study of the gravitationally lensed blazar QSO B0218+357 between 2016 and 2020. 510, 2344; arXiv:astro-ph.HE/2111.12926]. [Google Scholar] [CrossRef]
- Blanch, O.; Martinez, M. Exploring the gamma ray horizon with the next generation of gamma ray telescopes. Part 1: Theoretical predictions. Astroparticle Physics 2005, 23, 588–597. [Google Scholar] [CrossRef]
- Blanch, O.; Martinez, M. Exploring the gamma-ray horizon with the next generation of gamma-ray telescopes. Part 2: Extracting cosmological parameters from the observation of gamma-ray sources. Astroparticle Physics 2005, 23, 598–607. [Google Scholar] [CrossRef]
- Domínguez, A.; Primack, J.R.; Rosario, D.J.; Prada, F.; Gilmore, R.C.; Faber, S.M.; Koo, D.C.; Somerville, R.S.; Pérez-Torres, M.A.; Pérez-González, P.; et al. Extragalactic background light inferred from AEGIS galaxy-SED-type fractions. 410, 2556; arXiv:astro-ph.CO/1007.1459]. [Google Scholar] [CrossRef]
- Tavecchio, F.; Becerra-Gonzalez, J.; Ghisellini, G.; Stamerra, A.; Bonnoli, G.; Foschini, L.; Maraschi, L. On the origin of the γ-ray emission from the flaring blazar PKS 1222+216. 534, A86, arXiv:astro-ph.HE/1104.0048]. [CrossRef]
- Acciari, V.A.; Ansoldi, S.; Antonelli, L.A.; Arbet Engels, A.; Baack, D. ; Babić. ; , A.; Banerjee, B.; Barres de Almeida, U.; Barrio, J.A.; Becerra González, J.; et al. Measurement of the extragalactic background light using MAGIC and Fermi-LAT gamma-ray observations of blazars up to z = 1. 2019, arXiv:astro-ph.HE/1904.00134]486, 4233–4251. [Google Scholar] [CrossRef]
- Madejski, G.G.; Sikora, M. Gamma-Ray Observations of Active Galactic Nuclei. 2016, 54, 725–760. [CrossRef]
- Fossati, G.; Maraschi, L.; Celotti, A.; Comastri, A.; Ghisellini, G. A unifying view of the spectral energy distributions of blazars. 1998, 299, 433–448, [arXiv:astro-ph/astro-ph/9804103]. [CrossRef]
- Prandini, E.; Ghisellini, G. The Blazar Sequence and Its Physical Understanding. Galaxies 2022, arXiv:astro-ph.HE/2202.07490]10, 35. [Google Scholar] [CrossRef]
- Tavecchio, F.; Ghisellini, G.; Bonnoli, G.; Ghirlanda, G. Constraining the location of the emitting region in Fermi blazars through rapid γ-ray variability. 405, L98, arXiv:astro-ph.CO/1003.3475]. [CrossRef]
- Marscher, A.P. Relativistic jets and the continuum emission in QSOs. 1980, 235, 386–391. [CrossRef]
- Ghisellini, G.; Tavecchio, F. Rapid variability in TeV blazars: the case of PKS2155-304. 386, L32, arXiv:astro-ph/0801.2569]. [CrossRef]
- Nalewajko, K.; Sikora, M. A structure and energy dissipation efficiency of relativistic reconfinement shocks. 392, 1205; arXiv:astro-ph/0810.3912]. [Google Scholar] [CrossRef]
- Frederiksen, J.T.; Haugbølle, T.; Medvedev, M.V.; Nordlund, Å. Radiation Spectral Synthesis of Relativistic Filamentation. 722, arXiv:astro-ph.HE/1003.1140]. [CrossRef]
- Ghisellini, G.; Tavecchio, F.; Foschini, L.; Ghirlanda, G. The transition between BL Lac objects and flat spectrum radio quasars. 414, 2674; arXiv:astro-ph.CO/1012.0308]. [Google Scholar] [CrossRef]
- Manganaro, M.; Seglar-Arroyo, M.; Becerra-González, J.; Sanchez, D.; Cerruti, M.; Tavecchio, F.; Fallah-Ramazani, V.; Agudo, I.; Ciprini, S.; Filippenko, A.V.; et al. MAGIC and H.E.S.S. detect VHE gamma rays from the blazar OT081 for the first time: a deep multiwavelength study. 37th International Cosmic Ray Conference. 12-. Berlin, 2022, p. 815. 23 July.
- Costamante, L.; Ghisellini, G.; Giommi, P.; Tagliaferri, G.; Celotti, A.; Chiaberge, M.; Fossati, G.; Maraschi, L.; Tavecchio, F.; Treves, A.; Wolter, A. Extreme synchrotron BL Lac objects. Stretching the blazar sequence. 2001, 371, 512–526. [Google Scholar] [CrossRef]
- Durrer, R.; Neronov, A. Cosmological magnetic fields: their generation, evolution and observation. 21, 62, arXiv:astro-ph.CO/1303.7121]. [CrossRef]
- Biteau, J.; Prandini, E.; Costamante, L.; Lemoine, M.; Padovani, P.; Pueschel, E.; Resconi, E.; Tavecchio, F.; Taylor, A.; Zech, A. Progress in unveiling extreme particle acceleration in persistent astrophysical jets. Nature Astronomy 2020, arXiv:astro-ph.HE/2001.09222]4, 124–131. [Google Scholar] [CrossRef]
- Ghisellini, G.; Tavecchio, F.; Chiaberge, M. Structured jets in TeV BL Lac objects and radiogalaxies. Implications for the observed properties. 2005, 432, 401–410. [Google Scholar] [CrossRef]
- Ahnen, M.L.; Ansoldi, S.; Antonelli, L.A.; Arcaro, C.; Babić, A.; Banerjee, B.; Bangale, P.; Barres de Almeida, U.; Barrio, J.A.; Becerra González, J.; et al. Extreme HBL behavior of Markarian 501 during 2012. 620, arXiv:astro-ph.HE/1808.04300]. [CrossRef]
- MAGIC Collaboration. ; Acciari, V.A.; Ansoldi, S.; Antonelli, L.A.; Arbet Engels, A.; Babić, A.; Banerjee, B.; Barres de Almeida, U.; Barrio, J.A.; Becerra González, J.; et al. An intermittent extreme BL Lac: MWL study of 1ES 2344+514 in an enhanced state. 2020, arXiv:astro-ph.HE/2006.06796]496, 3912–3928. [CrossRef]
- Abe, H.; Abe, S.; Acciari, V.A.; Agudo, I.; Aniello, T.; Ansoldi, S.; Antonelli, L.A.; Arbet Engels, A.; Arcaro, C.; Artero, M.; et al. Multi-year characterisation of the broad-band emission from the intermittent extreme BL Lac 1ES~2344+514. arXiv e-prints, arXiv:2310.03922, [arXiv:astro-ph.HE/2310.03922]. [CrossRef]
- Acciari, V.A.; Agudo, I.; Aniello, T.; Ansoldi, S.; Antonelli, L.A.; Arbet Engels, A.; Artero, M.; Asano, K.; Baack, D.; Babić, A.; et al. A lower bound on intergalactic magnetic fields from time variability of 1ES 0229+200 from MAGIC and Fermi/LAT observations. 670, arXiv:astro-ph.HE/2210.03321]. [CrossRef]
- Aleksić, J.; Ansoldi, S.; Antonelli, L.A.; Antoranz, P.; Babic, A.; Bangale, P.; Barrio, J.A.; González, J.B.; Bednarek, W.; Bernardini, E.; et al. Black hole lightning due to particle acceleration at subhorizon scales. Science 2014, arXiv:astro-ph.HE/1412.4936]346, 1080–1084. [Google Scholar] [CrossRef] [PubMed]
- Albert, J.; Aliu, E.; Anderhub, H.; Antoranz, P.; Armada, A.; Asensio, M.; Baixeras, C.; Barrio, J.A.; Bartko, H.; Bastieri, D.; et al. Observations of Markarian 421 with the MAGIC Telescope. 2007, 663, 125–138, [arXiv:astro-ph/astro-ph/0603478]. [CrossRef]
- Aleksić, J.; Anderhub, H.; Antonelli, L.A.; Antoranz, P.; Backes, M.; Baixeras, C.; Balestra, S.; Barrio, J.A.; Bastieri, D.; Becerra González, J.; et al. MAGIC TeV gamma-ray observations of Markarian 421 during multiwavelength campaigns in 2006. 519, A32, arXiv:astro-ph.CO/1001.1291]. [CrossRef]
- Abdo, A.A.; Ackermann, M.; Ajello, M.; Baldini, L.; Ballet, J.; Barbiellini, G.; Bastieri, D.; Bechtol, K.; Bellazzini, R.; Berenji, B.; et al. Fermi Large Area Telescope Observations of Markarian 421: The Missing Piece of its Spectral Energy Distribution. 736, arXiv:astro-ph.HE/1106.1348]. [CrossRef]
- Aleksić, J.; Ansoldi, S.; Antonelli, L.A.; Antoranz, P.; Babic, A.; Bangale, P.; Barres de Almeida, U.; Barrio, J.A.; Becerra González, J.; Bednarek, W.; et al. Unprecedented study of the broadband emission of Mrk 421 during flaring activity in 10. 578, 20 March; A22, arXiv:astro-ph.HE/1412.3576]. [CrossRef]
- Aleksić, J.; Ansoldi, S.; Antonelli, L.A.; Antoranz, P.; Babic, A.; Bangale, P.; Barres de Almeida, U.; Barrio, J.A.; Becerra González, J.; et al. The 2009 multiwavelength campaign on Mrk 421: Variability and correlation studies. 576, arXiv:astro-ph.HE/1502.02650]. [CrossRef]
- Baloković, M.; Paneque, D.; Madejski, G.; Furniss, A.; Chiang, J.; Ajello, M.; Alexander, D.M.; Barret, D.; Blandford, R.D.; Boggs, S.E.; et al. Multiwavelength Study of Quiescent States of Mrk 421 with Unprecedented Hard X-Ray Coverage Provided by NuSTAR in 2013. 819, arXiv:astro-ph.HE/1512.02235]. [CrossRef]
- Ahnen, M.L.; Ansoldi, S.; Antonelli, L.A.; Antoranz, P.; Babic, A.; Banerjee, B.; Bangale, P.; Barres de Almeida, U.; Barrio, J.A.; Becerra González, J.; et al. Long-term multi-wavelength variability and correlation study of Markarian 421 from 2007 to 2009. 593, A91, arXiv:astro-ph.GA/1605.09017]. [CrossRef]
- Abeysekara, A.U.; Archambault, S.; Archer, A.; Benbow, W.; Bird, R.; Buchovecky, M.; Buckley, J.H.; Bugaev, V.; Cardenzana, J.V.; Cerruti, M.; et al. A Search for Spectral Hysteresis and Energy-dependent Time Lags from X-Ray and TeV Gamma-Ray Observations of Mrk 421. 834, 2, arXiv:astro-ph.HE/1611.04626]. [CrossRef]
- Acciari, V.A.; Ansoldi, S.; Antonelli, L.A.; Asano, K.; Babić, A.; Banerjee, B.; Baquero, A.; de Almeida, U.B.; Barrio, J.A.; Becerra González, J.; et al. Multiwavelength variability and correlation studies of Mrk 421 during historically low X-ray and γ-ray activity in 2015-2016. 504, 1427; arXiv:astro-ph.HE/2012.01348]. [Google Scholar] [CrossRef]
- Acciari, V.A.; Ansoldi, S.; Antonelli, L.A.; Arbet Engels, A.; Baack, D.; Babić, A.; Banerjee, B.; Barres de Almeida, U.; Barrio, J.A.; Becerra González, J.; et al. Unraveling the Complex Behavior of Mrk 421 with Simultaneous X-Ray and VHE Observations during an Extreme Flaring Activity in 2013 April. 248, 29, arXiv:astro-ph.HE/2001.08678]. [CrossRef]
- Abeysekara, A.U.; Benbow, W.; Bird, R.; Brill, A.; Brose, R.; Buchovecky, M.; Buckley, J.H.; Christiansen, J.L.; Chromey, A.J.; Daniel, M.K.; et al. The Great Markarian 421 Flare of 2010 February: Multiwavelength Variability and Correlation Studies. 890, 97, arXiv:astro-ph.HE/2002.03567]. [CrossRef]
- MAGIC Collaboration. ; Acciari, V.A.; Ansoldi, S.; Antonelli, L.A.; Arbet Engels, A.; Artero, M.; Asano, K.; Babić, A.; Baquero, A.; Barres de Almeida, U.; et al. Investigation of the correlation patterns and the Compton dominance variability of Mrk 421 in 2017. 2021, arXiv:astro-ph.HE/2106.05516]655, A89. [CrossRef]
- Aleksić, J.; Antonelli, L.A.; Antoranz, P.; Backes, M.; Baixeras, C.; Barrio, J.A.; Bastieri, D.; Becerra González, J.; Bednarek, W.; Berdyugin, A.; et al. Search for an extended VHE γ-ray emission from Mrk 421 and Mrk 501 with the MAGIC Telescope. 524, A77, arXiv:astro-ph.HE/1004.1093]. [CrossRef]
- Albert, J.; Aliu, E.; Anderhub, H.; Antoranz, P.; Armada, A.; Baixeras, C.; Barrio, J.A.; Bartko, H.; Bastieri, D.; Becker, J.K.; et al. Variable Very High Energy γ-Ray Emission from Markarian 501. 2007, 669, 862–883, [arXiv:astro-ph/astro-ph/0702008]. [CrossRef]
- Anderhub, H.; Antonelli, L.A.; Antoranz, P.; Backes, M.; Baixeras, C.; Balestra, S.; Barrio, J.A.; Bastieri, D.; Becerra González, J.; Becker, J.K.; et al. Simultaneous Multiwavelength Observation of Mkn 501 in a Low State in 2006. 705, 1624; arXiv:astro-ph.HE/0910.2093]. [Google Scholar] [CrossRef]
- Abdo, A.A.; Ackermann, M.; Ajello, M.; Allafort, A.; Baldini, L.; Ballet, J.; Barbiellini, G.; Baring, M.G.; Bastieri, D.; Bechtol, K.; et al. Insights into the High-energy γ-ray Emission of Markarian 501 from Extensive Multifrequency Observations in the Fermi Era. 727, arXiv:astro-ph.HE/1011.5260]. [CrossRef]
- Acciari, V.A.; Arlen, T.; Aune, T.; Beilicke, M.; Benbow, W.; Böttcher, M.; Boltuch, D.; Bradbury, S.M.; Buckley, J.H.; Bugaev, V.; et al. Spectral Energy Distribution of Markarian 501: Quiescent State Versus Extreme Outburst. 729, 2, arXiv:astro-ph.HE/1012.2200]. [CrossRef]
- Furniss, A.; Noda, K.; Boggs, S.; Chiang, J.; Christensen, F.; Craig, W.; Giommi, P.; Hailey, C.; Harisson, F.; Madejski, G.; et al. First NuSTAR Observations of Mrk 501 within a Radio to TeV Multi-Instrument Campaign. 812, 65, arXiv:astro-ph.HE/1509.04936]. [CrossRef]
- Aleksić, J.; Ansoldi, S.; Antonelli, L.A.; Antoranz, P.; Babic, A.; Bangale, P.; Barres de Almeida, U.; Barrio, J.A.; Becerra González, J.; Bednarek, W.; et al. Multiwavelength observations of Mrk 501 in 2008. 573, A50, arXiv:astro-ph.HE/1410.6391]. [CrossRef]
- Ahnen, M.L.; Ansoldi, S.; Antonelli, L.A.; Antoranz, P.; Babic, A.; Banerjee, B.; Bangale, P.; Barres de Almeida, U.; Barrio, J.A.; Becerra González, J.; et al. Multiband variability studies and novel broadband SED modeling of Mrk 501 in 2009. 603, A31, arXiv:astro-ph.HE/1612.09472]. [CrossRef]
- MAGIC Collaboration. ; Acciari, V.A.; Ansoldi, S.; Antonelli, L.A.; Babić, A.; Banerjee, B.; Barres de Almeida, U.; Barrio, J.A.; Becerra González, J.; Bednarek, W.; et al. Study of the variable broadband emission of Markarian 501 during the most extreme Swift X-ray activity. 2020, arXiv:astro-ph.HE/2001.07729]637, A86. [CrossRef]
- Abe, H.; Abe, S.; Acciari, V.A.; Agudo, I.; Aniello, T.; Ansoldi, S.; Antonelli, L.A.; Arbet-Engels, A.; Arcaro, C.; Artero, M.; et al. Multimessenger Characterization of Markarian 501 during Historically Low X-Ray and γ-Ray Activity. 266, 37, arXiv:astro-ph.HE/2210.02547]. [CrossRef]
- Aleksić, J.; Alvarez, E.A.; Antonelli, L.A.; Antoranz, P.; Asensio, M.; Backes, M.; Barrio, J.A.; Bastieri, D.; Becerra González, J.; Bednarek, W.; et al. MAGIC observations of the giant radio galaxy M 87 in a low-emission state between 2005 and 2007. 544, A96, arXiv:astro-ph.HE/1207.2147]. [CrossRef]
- MAGIC Collaboration. ; Acciari, V.A.; Ansoldi, S.; Antonelli, L.A.; Arbet Engels, A.; Arcaro, C.; Baack, D.; Babić, A.; Banerjee, B.; Bangale, P.; et al. Monitoring of the radio galaxy M 87 during a low-emission state from 2012 to 2015 with MAGIC. 2020, arXiv:astro-ph.HE/2001.01643]492, 5354–5365. [CrossRef]
- Albert, J.; Aliu, E.; Anderhub, H.; Antonelli, L.A.; Antoranz, P.; Backes, M.; Baixeras, C.; Barrio, J.A.; Bartko, H.; Bastieri, D.; et al. Very High Energy Gamma-Ray Observations of Strong Flaring Activity in M87 in 2008 February. 685, L23, arXiv:astro-ph/0806.0988]. [CrossRef]
- Abramowski, A.; Acero, F.; Aharonian, F.; Akhperjanian, A.G.; Anton, G.; Balzer, A.; Barnacka, A.; Barres de Almeida, U.; Becherini, Y.; Becker, J.; et al. The 2010 Very High Energy γ-Ray Flare and 10 Years of Multi-wavelength Observations of M 87. 746, arXiv:astro-ph.CO/1111.5341]. [CrossRef]
- EHT MWL Science Working Group. ; Algaba, J.C.; Anczarski, J.; Asada, K.; Baloković, M.; Chandra, S.; Cui, Y.Z.; Falcone, A.D.; Giroletti, M.; Goddi, C.; et al. Broadband Multi-wavelength Properties of M87 during the 2017 Event Horizon Telescope Campaign. 2021, arXiv:astro-ph.HE/2104.06855]911, L11. [CrossRef]
- Albert, J.; Aliu, E.; Anderhub, H.; Antoranz, P.; Baixeras, C.; Barrio, J.A.; Bartko, H.; Bastieri, D.; Becker, J.K.; Bednarek, W.; et al. MAGIC observations of PG 1553+113 during a multiwavelength campaign in 06. 493, 20 July; arXiv:astro-ph/0812.3037]. [CrossRef]
- Aleksić, J.; Anderhub, H.; Antonelli, L.A.; Antoranz, P.; Backes, M.; Baixeras, C.; Balestra, S.; Barrio, J.A.; Bastieri, D.; Becerra González, J.; et al. Simultaneous multi-frequency observation of the unknown redshift blazar PG 1553+113 in March-08. 515, 20 April; A76, arXiv:astro-ph.HE/0911.1088]. [CrossRef]
- Aleksić, J.; Alvarez, E.A.; Antonelli, L.A.; Antoranz, P.; Asensio, M.; Backes, M.; Barrio, J.A.; Bastieri, D.; Becerra González, J.; Bednarek, W.; et al. PG 1553+113: Five Years of Observations with MAGIC. 748, 46, arXiv:astro-ph.CO/1101.2764]. [CrossRef]
- Ackermann, M.; Ajello, M.; Albert, A.; Atwood, W.B.; Baldini, L.; Ballet, J.; Barbiellini, G.; Bastieri, D.; Becerra Gonzalez, J.; Bellazzini, R.; et al. Multiwavelength Evidence for Quasi-periodic Modulation in the Gamma-Ray Blazar PG 1553+113. 813, L41, arXiv:astro-ph.HE/1509.02063]. [CrossRef]
- Covino, S.; Landoni, M.; Sandrinelli, A.; Treves, A. Looking at Blazar Light-curve Periodicities with Gaussian Processes. 895, arXiv:astro-ph.HE/2004.10763]. [CrossRef]
- Peñil, P.; Domínguez, A.; Buson, S.; Ajello, M.; Otero-Santos, J.; Barrio, J.A.; Nemmen, R.; Cutini, S.; Rani, B.; Franckowiak, A.; et al. Systematic Search for γ-Ray Periodicity in Active Galactic Nuclei Detected by the Fermi Large Area Telescope. 896, arXiv:astro-ph.HE/2002.00805]. [CrossRef]
- De Lotto, B. ; Magic Collaboration. The MAGIC telescopes: performance, results and future perspectives. Journal of Physics Conference Series, 2012, Vol. 375, Journal of Physics Conference Series, p. 052021. [CrossRef]
- Albert, J.; Aliu, E.; Anderhub, H.; Antoranz, P.; Armada, A.; Asensio, M.; Baixeras, C.; Barrio, J.A.; Bartko, H.; Bastieri, D.; et al. Observation of Very High Energy Gamma-Ray Emission from the Active Galactic Nucleus 1ES 1959+650 Using the MAGIC Telescope. 2006, 639, 761–765, [arXiv:astro-ph/astro-ph/0508543]. [CrossRef]
- MAGIC Collaboration. ; Acciari, V.A.; Ansoldi, S.; Antonelli, L.A.; Arbet Engels, A.; Baack, D.; Babić, A.; Banerjee, B.; Barres de Almeida, U.; Barrio, J.A.; et al. Broadband characterisation of the very intense TeV flares of the blazar 1ES 1959+650 in 2016. 2020, arXiv:astro-ph.HE/2002.00129]638, A14. [CrossRef]
- Bionta, R.M.; Blewitt, G.; Bratton, C.B.; Casper, D.; Ciocio, A.; Claus, R.; Cortez, B.; Crouch, M.; Dye, S.T.; Errede, S.; et al. Observation of a neutrino burst in coincidence with supernova 1987A in the Large Magellanic Cloud. 1987, 58, 1494–1496. [CrossRef]
- Actis, M.; Agnetta, G.; Aharonian, F.; Akhperjanian, A.; Aleksić, J.; Aliu, E.; Allan, D.; Allekotte, I.; Antico, F.; Antonelli, L.A.; et al. Design concepts for the Cherenkov Telescope Array CTA: an advanced facility for ground-based high-energy gamma-ray astronomy. Experimental Astronomy 2011, arXiv:astro-ph.IM/1008.3703]32, 193–316. [Google Scholar] [CrossRef]




| Name | type | redshift | Date of announcement | References |
|---|---|---|---|---|
| RGB J2042+244 | HBL | 0.104 | 2019.11 | 14 |
| Markarian 180 | HBL | 0.045 | 2006.09 | 15 |
| TXS 0210+515 | HBL | 0.049 | 2019.01 | 14 |
| 1ES 2037+521 | HBL | 0.053 | 2016.10 | 14 |
| 1ES 1727+502 | HBL | 0.055 | 2011.11 | 16 |
| 2WHSP J073326.7+515354 | HBL | 0.065 | 2018.04 | 17 |
| 1ES 1741+196 | HBL | 0.084 | 2011.08 | 18 |
| B2 1811+31 | IBL | 0.117 | 2020.10 | 19 |
| B3 2247+381 | HBL | 0.1187 | 2010.10 | 20 |
| TXS 1515-273 | HBL | 0.1284 | 2019.02 | 21 |
| 1ES 1215+303 | HBL | 0.131 | 2011.01 | 22 |
| RX J1136.5+6737 | HBL | 0.1342 | 2014.04 | 23 |
| 1RXS J081201.8+023735 | HBL | 0.1721 | 2021.02 | |
| MAGIC J2001+435 | IBL | 0.1739 | 2010.07 | 24 |
| 1ES 1218+304 | HBL | 0.182 | 2006.05 | 25 |
| IC 310 | 0.0189 | 2010.03 | 26 | |
| RBS 0723 | HBL | 0.198 | 2014.01 | 14 |
| 1ES 1011+496 | HBL | 0.212 | 2007.09 | [27,28,29,30] |
| MS 1221.8+2452 | HBL | 0.218 | 2013.05 | 31 |
| RGB J0136+391 | HBL | > 0.27 | 2012.07 | |
| H 1722+119 | HBL | 2013.05 | 32 | |
| 1ES 0647+250 | HBL | > 0.29 | 2010.07 | 33 |
| PKS 1413+135 | Blazar | 0.247 > z < 0.5 | 2022.01 | 35 |
| S5 0716+714 | IBL | 0.31? | 2008.04 | [36,37] |
| OT 081 | LBL | 0.322 | 2016.07 | |
| TXS 0506+056 | Blazar | 0.3365 | 2017.10 | [38,39] |
| S2 0109+22 | IBL | 0.36 | 2015.07 | 40 |
| S4 0954+65 | Blazar | 0.3694 | 2015.02 | 41 |
| PKS 1222+216 | FSRQ | 0.432 | 2010.06 | 42 |
| 1ES 0033+595 | HBL | 0.467 | 2011.10 | 43 |
| GB6 J1058+2817 | BL Lac(class unclear) | 0.4793 | 2021.04 | 45 |
| 3C 279 | FSRQ | 0.5362 | 2008.06 | [46,47,48] |
| B2 1420+32 | FSRQ | 0.682 | 2020.01 | 49 |
| TON 0599 | FSRQ | 0.7247 | 2017.12 | 50 |
| PKS 1441+25 | FSRQ | 0.939 | 2015.04 | 51 |
| QSO B0218+357 | FSRQ | 0.954 | 2014.07 | [52,53] |
| Mrk 421 | |||
|---|---|---|---|
| Time | Main results | Theor. model | Ref. |
| Nov 2004 – Apr 2005 | -ray/X-ray corr., | one-zone SSC | 78 |
| IC peak ∼100 GeV | |||
| 22-30 Apr + 14 Jun 2006 | intra-night var. | leptonic | 79 |
| (29 Apr, ∼36 min.) | |||
| 5 Aug 2008-12 Mar 2010 | MWL SED in a | one-zone SCC, | 80 |
| quiescent state | proton-synch | ||
| characterization | |||
| Mar 2010 | -ray/X-ray corr., | one-zone SCC, | 81 |
| -ray and X-ray var. | two-zones SSC | ||
| Jan-Jun 2009 | quiescent state | one-zone SCC | 83 |
| characterization, | |||
| X-ray harder- | |||
| when-brighter, | |||
| -ray/X-ray corr., | |||
| optical/X-ray | |||
| anti-corr. | |||
| Jan-Mar 2013 | -ray/X-ray corr., | one-zone SCC, | 83 |
| double-bumped | suggestion of | ||
| frac. var., | multi-zone leptonic | ||
| low state | |||
| characterization | |||
| Mar 2007-Jun 2009 | X-ray/soft X-ray | suggested SSC, | 84 |
| corr., frac. var. | or generic | ||
| increasing with | hadronic | ||
| energy, different | scenarios | ||
| levels of activity | |||
| 28 Apr-4 May 2014 | X-ray spectrum | one-zone SSC | 85 |
| variability | |||
| Nov 2014-Jun 2016 | X-ray and -ray | 86 | |
| harder-when | suggesting that the | ||
| brighter, double- | emission is powered | ||
| bumped frac. var., | by a multiplicative | ||
| X-ray/-ray/ corr., | process | ||
| VHE intra-night | |||
| var. (27 Jan + | |||
| 12 Mar 2015) | |||
| 11-19 Apr 2013 | intra-night var. | magnetic reconnection | 87 |
| of X-ray and VHE | in a multi-zone | ||
| -ray bands, | |||
| VHE -ray/X-ray corr. | scenario | ||
| Feb 2010 | limits on the | one-zone SSC | 88 |
| Doppler factor | excluded | ||
| and size of the | |||
| emission region, | |||
| time-lagged | |||
| corr. optical/VHE | |||
| Dec 2016-Jun 2017 | VHE/X-ray corr., | two-zone | 89 |
| orphan -ray | leptonic | ||
| activity, | |||
| intra-night VHE | |||
| var., UV/X-ray | |||
| anti-corr. | |||
| Dec 2007-Feb 2009 | upper limits on | possible constraints | 90 |
| extended emission | on EGMF | ||
| Mrk 501 | |||
|---|---|---|---|
| Time | Main results | Theor. model | Ref. |
| May-Jul 2005 | VHE intra-night var., | one-zone SSC | 91 |
| spectra hardening when | |||
| increasing flux, | |||
| var. increasing | |||
| with energy | |||
| Jul 2006 | low state in VHE | one-zone SSC | 92 |
| steep VHE photon index | |||
| spectral hardening | |||
| with flux (VHE) | |||
| 15 Mar-1 Aug 2009 | low activity | one-zone SSC | 93 |
| characterization | |||
| Mar 2009 | quiescent state | 94 | |
| characterization, | one-zone SSC | ||
| X-ray peak shift of two | |||
| orders of magnitude | |||
| 1 Apr-10 Aug 2013 | hard X-ray var. | 95 | |
| on hour timescales, | one-zone SSC | ||
| 5 MWL SEDs | |||
| March-May 2008 | low state | one-zone SSC | 96 |
| characterization, | |||
| hint of X-ray-to-VHE | |||
| correlation | |||
| 15 Mar-1 Aug 2009 | frac. var. increasing | two-zones SSC | 97 |
| with energy, flaring | |||
| activity coincident | |||
| with EVPA rotation | |||
| (1 May) | |||
| Mar-Jul 2012 | hard X-ray and VHE | one-zone SSC | 73 |
| spectral indexes, | |||
| extreme behaviour, | |||
| VHE/X-ray corr., | |||
| frac. var. increasing | |||
| with energy | |||
| 16-31 Jul 2014 | frac. var. increasing | 98 | |
| with energy, | |||
| VHE/X-ray corr., | |||
| narrow feature in the | |||
| VHE spectrum at 3 TeV | |||
| (19 Jul) | |||
| Feb 2017-Dec 2020 | X-ray/VHE corr., | one-zone leptonic, | 99 |
| HE/radio corr., | two-zone leptonic, | ||
| but also hadronic | |||
| and lepto-hadronic | |||
| are considered | |||
| May and Apr 2008 | upper limits on | possible constraints | 90 |
| extended emission | on EGMF | ||
Disclaimer/Publisher’s Note: The statements, opinions and data contained in all publications are solely those of the individual author(s) and contributor(s) and not of MDPI and/or the editor(s). MDPI and/or the editor(s) disclaim responsibility for any injury to people or property resulting from any ideas, methods, instructions or products referred to in the content. |
© 2023 by the authors. Licensee MDPI, Basel, Switzerland. This article is an open access article distributed under the terms and conditions of the Creative Commons Attribution (CC BY) license (http://creativecommons.org/licenses/by/4.0/).
