Submitted:
25 December 2023
Posted:
25 December 2023
You are already at the latest version
Abstract
Keywords:
1. Introduction
2. Materials and Methods
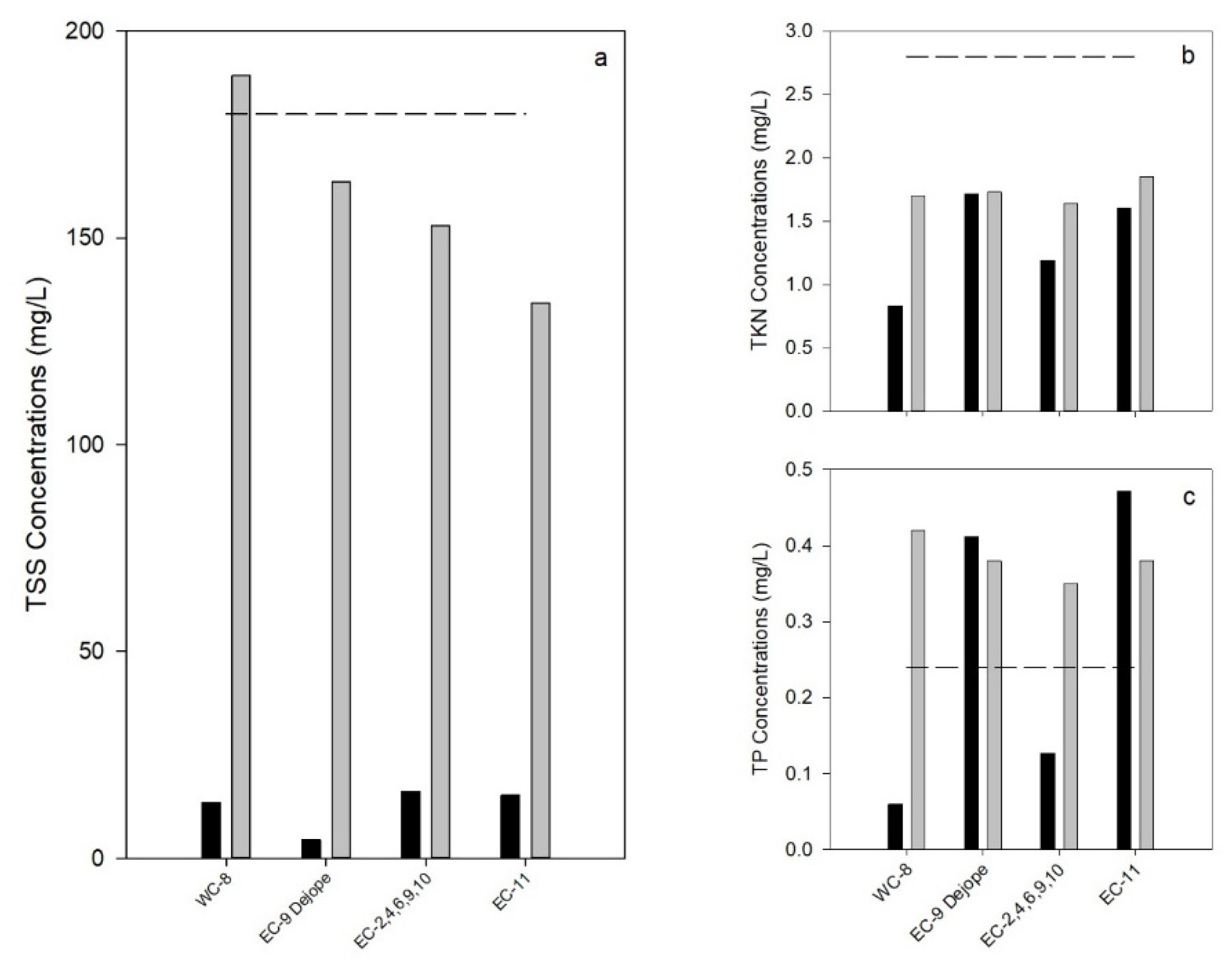
2.1. Site Description
2.2. Stormwater Sampling
2.3. Infiltration Sampling
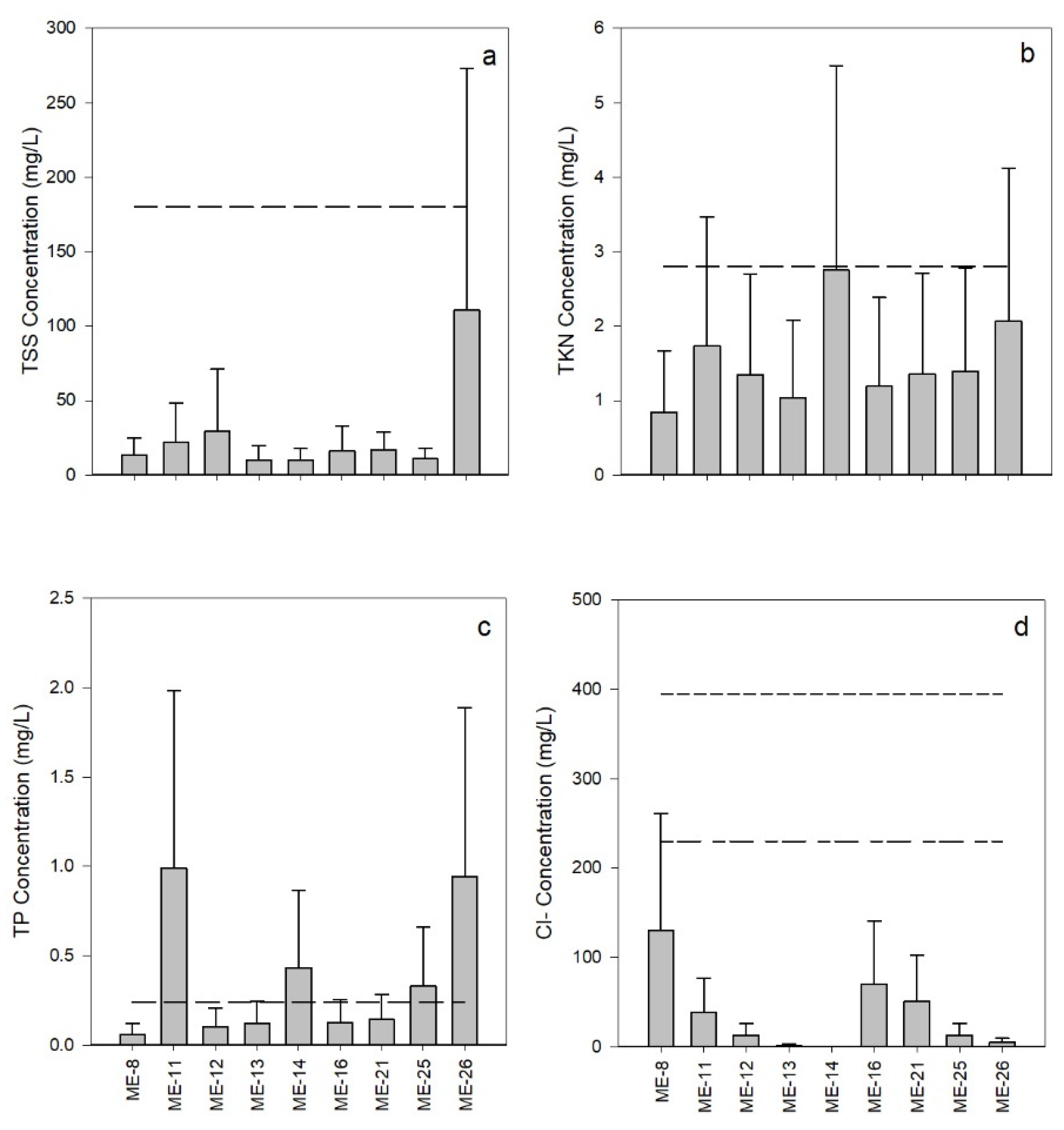
3. Results
4. Discussion
Author Contributions
Funding
Data Availability Statement
Acknowledgments
Conflicts of Interest
References
- WDNR 2022 Water Quality Lists. 2022.
- Weng, W.; Boyle, K.J.; Farrell, K.J.; Carey, C.C.; Cobourn, K.M.; Dugan, H.A.; Hanson, P.C.; Ward, N.K.; Weathers, K.C. Coupling Natural and Human Models in the Context of a Lake Ecosystem: Lake Mendota, Wisconsin, USA. Ecological Economics 2020, 169.
- UW-Madison Green Infrastructure and Stormwater Management Master Plan: 2015 Update; Madison, Wisconsin, 2015.
- YaharaWINS Madison Metropolitan Sewerage District Adaptive Management Plan; 2017.
- UW-Madison Stormwater Management Plan Campus – March 2021; Madison, Wisconsin, 2021.
- Lucke, T.; Beecham, S. An Investigation into the Differences in Infiltration Capacity between Porous and Permeable Concrete Pavers Installed on Sloping Sub-Catchments Analyse Des Différences de Capacité d ’ Infiltration Entre Des Pavés de Béton Poreux et Perméables Installés Su. Novatech 2013, 1–9.
- Ferguson, B.K. Stormwater Management and Stormwater Restoration. Handbook of water sensitive planning and design 2002, 11–28.
- Davies, J.W.; Pratt, C.J.; Scott, M.A. Laboratory Study of Permeable Pavement Systems to Support Hydraulic Modeling. Global Solutions for Urban Drainage 2002, 1–9. [CrossRef]
- WDNR Wisconsin Department of Natural Resources Technical Standard Permeable Pavement; 2021.
- Young, B.N.; Hathaway, J.M.; Lisenbee, W.A.; He, Q. Assessing the Runoff Reduction Potential of Highway Swales and WinSLAMM as a Predictive Tool. Sustainability (Switzerland) 2018, 10. [CrossRef]
- Wisc. Sate Legislature Chapter NR 216 Storm Water Discharge Permits; https://docs.legis.wisconsin.gov/code/admin_code/nr/200/216: Wisconsin, 2022.
- Wisc. State Legislature Wisconsin Legislature: Chapter NR 152; Wisconsin.
- BENT, G.C.; GRAY, J.R.; SMITH, K.P.; GLYSSON, G.D. A Synopsis of Technical Issues for Urban Runoff A Synopsis of Technical Issues for Urban Runoff; Northborough, 2001.
- Lee, J.G.; Heaney, J.P.; Pack, C.A. Frequency Methodology for Evaluating Urban and Highway Storm-Water Quality Control Infiltration BMPs. J Water Resour Plan Manag 2010, 136, 237–247. [CrossRef]
- Bilotta, G.S.; Brazier, R.E. Understanding the Influence of Suspended Solids on Water Quality and Aquatic Biota. Water Res 2008, 42, 2849–2861. [CrossRef]
- Yang, Y.Y.; Toor, G.S. Stormwater Runoff Driven Phosphorus Transport in an Urban Residential Catchment: Implications for Protecting Water Quality in Urban Watersheds. Sci Rep 2018, 8, 1–10. [CrossRef]
- Wall, D. A2. Nitrogen in Waters: Forms and Concerns; 2013.
- Elphick, J.R.F.; Bergh, K.D.; Bailey, H.C. Chronic Toxicity of Chloride to Freshwater Species: Effects of Hardness and Implications for Water Quality Guidelines. Environ Toxicol Chem 2011, 30, 239–246. [CrossRef]
- ESRI Team; Soil Survey Staff US Soil_Survey 2010.
- Soil Survey Staff Web Soil Survey.
- WDNR Basic Labratory Study Guide. Wisconsin Department of Natural Resources Wastewater Operator Certification 2015.
- USEPA Method 365.4: Phosphorous, Total (Colorimetric, Automated, Block Digester AA II); 1974.
- USEPA Method 351.2, Revision 2.0: Determination of Total Kjeldahl Nitrogen by Semi-Automated Colorimetry; 1993.
- Standard Methods 4500-Cl− CHLORIDE - Standard Methods For the Examination of Water and Wastewater. Standard Methods For the Examination of Water and Wastewater, 23rd 2018. [CrossRef]
- Shahzad, H.; Myers, B.; Hewa, G.; Johnson, T.; Boland, J.; Mujtaba, H. Characterizing the Stormwater Runoff Quality and Evaluating the Performance of Curbside Infiltration Systems to Improve Stormwater Quality of an Urban Catchment. Water (Switzerland) 2022, 14. [CrossRef]
- Wisc. Admin Code Wis. Admin. Code NR § 105.06 - Chronic Toxicity Criteria and Secondary Chronic Values for Fish and Aquatic Life; Wisconsin, 2023.
- USEPA Ambient Water Quality for Chloride-1988; Duluth, MN, 1988.
- PV & Associates WisReg - Madison WI Five 1981-1984.Ran 2016.
- USGS WinSLAMM (Source Loading And Management Model): An Urban Area Nonpoint Source Water-Quality Model for Wisconsin Available online: https://www.usgs.gov/centers/upper-midwest-water-science-center/science/winslamm-source-loading-and-management-model.
- Reynolds, W.D.; Elrick, D.E.; Youngs, E.G. Single-Ring and Double- or Concentric-Ring Infiltrometers. In Methods of Soil Analysis Part 4: Physical Methods; Dick, W.A., Ed.; Soil Science Society of America. Inc., 2002; pp. 821–826.
- Martin, W.D.; Putman, B.J.; Kaye, N.B. Using Image Analysis to Measure the Porosity Distribution of a Porous Pavement. Constr Build Mater 2013, 48, 210–217. [CrossRef]
- Neithalath, N.; Sumanasooriya, M.S.; Deo, O. Characterizing Pore Volume, Sizes, and Connectivity in Pervious Concretes for Permeability Prediction. Mater Charact 2010, 61, 802–813. [CrossRef]
- Correll, D.L. Phosphorus: A Rate Limiting Nutrient in Surface Waters. 1999, 674–682. [CrossRef]
- Buer, N.H.; Selbig, W.R. Evaluation of Stormwater Treatment Vault with Coanda-Effect Screen for Removal of Solids and Phosphorus in Urban Runoff. J Sustain Water Built Environ 2020, 6, 1–10. [CrossRef]
- Smith, J.S.; Winston, R.J.; Tirpak, R.A.; Wituszynski, D.M.; Boening, K.M.; Martin, J.F. The Seasonality of Nutrients and Sediment in Residential Stormwater Runoff: Implications for Nutrient-Sensitive Waters. J Environ Manage 2020, 276. [CrossRef]
- Ramli, S.; Wahhit, M.R.F. The Effectiveness of Non-Woven Geotextiles as a Filter Media for Total Suspended Solid Removal. Lecture Notes in Civil Engineering 2022, 214, 329–338. [CrossRef]
- Monteiro, J.A. Ecosystem Services from Turfgrass Landscapes. Urban For Urban Green 2017, 26, 151–157. [CrossRef]
- Tiefenthaler, L.L.; Schiff, K.C.; Leecaster, M.K. Temporal Variability Patterns of Stormwater Concentrations in Urban Stormwater Runoff; 2000.
- Taka, M.; Kokkonen, T.; Kuoppamäki, K.; Niemi, T.; Sillanpää, N.; Valtanen, M.; Warsta, L.; Setälä, H. Spatio-Temporal Patterns of Major Ions in Urban Stormwater under Cold Climate. Hydrol Process 2017, 31, 1564–1577. [CrossRef]
- Gong, Y.; Liang, X.; Li, X.; Li, J.; Fang, X.; Song, R. Influence of Rainfall Characteristics on Total Suspended Solids in Urban Runoff: A Case Study in Beijing, China. Water (Basel) 2016, 8. [CrossRef]
- Wang, Y.; Thompson, A.M.; Selbig, W.R. Predictive Models of Phosphorus Concentration and Load in Stormwater Runoff from Small Urban Residential Watersheds in Fall Season. J Environ Manage 2022, 315. [CrossRef]
- Deletic, A.; Orr, D.W. Pollution Buildup on Road Surfaces. Journal of Environmental Engineering 2005, 131, 49–59. [CrossRef]
- Nayeb Yazdi, M.; David J.; Scott, D.; Wang, X.; Ketabchy, M. The Effects of Land Use Characteristics on Urban Stormwater Quality and Watershed Pollutant Loads. Science of the Total Environment 2021, 773. [CrossRef]
- Lusk, M.G.; Toor, G.S.; Inglett, P.W. Organic Nitrogen in Residential Stormwater Runoff: Implications for Stormwater Management in Urban Watersheds. Science of the Total Environment 2020, 707, 135962. [CrossRef]
- Lucke, T.; Drapper, D.; Hornbuckle, A. Urban Stormwater Characterization and Nitrogen Composition from Lot-Scale Catchments — New Management Implications. Science of the Total Environment 2018, 619–620, 65–71. [CrossRef]
- Fitzpatrick, M.L.; Long, D.T.; Pijanowski, B.C. Exploring the Effects of Urban and Agricultural Land Use on Surface Water Chemistry, across a Regional Watershed, Using Multivariate Statistics. Applied Geo-chemistry 2007, 22, 1825–1840.
- Dugan, H.A.; Skaff, N.K.; Doubek, J.P.; Bartlett, S.L.; Burke, S.M.; Krivak-Tetley, F.E.; Summers, J.C.; Hanson, P.C.; Weathers, K.C. Lakes at Risk of Chloride Contamination. Environ Sci Technol 2020, 54, 6639–6650. [CrossRef]
- Magnuson, J. Winter Chloride Concentrations in Urban Wetlands and Streams around Lake Mendota - North Temperate Lakes; 2015.
- Yuan, L.; Sinshaw, T.; Forshay, K.J. Review of Watershed-Scale Water Quality and Nonpoint Source Pollution Models. Geosciences 2020, Vol. 10, Page 25 2020, 10, 25. [CrossRef]
- Selbig, W.R. Characterizing the Distribution of Particles in Urban Stormwater: Advancements through Improved Sampling Technology. Urban Water J 2015, 12, 111–119. [CrossRef]
- Selbig, W.R.; Fienen, M.N.; Horwatich, J.A.; Bannerman, R.T. The Effect of Particle Size Distribution on the Design of Urban Stormwater Control Measures. Water 2016, Vol. 8, Page 17 2016, 8, 17. [CrossRef]
- Ma, J.; Ying, G.; Sansalone, J.J. Transport and Distribution of Particulate Matter Phosphorus Fractions in Rainfall-Runoff from Roadway Source Areas. Journal of Environmental Engineering 2010, 136, 1189–1319. [CrossRef]
- Berretta, C.; Sansalone, J. Hydrologic Transport and Partitioning of Phosphorus Fractions. J Hydrol (Amst) 2011, 403, 25–36. [CrossRef]
- Doug Joachim Personal Communication 2021.
- Zhang, J.; She, R.; Dai, Z.; Ming, R.; Ma, G.; Cui, X.; Li, L. Experimental Simulation Study on Pore Clogging Mechanism of Porous Pavement. Constr Build Mater 2018, 187, 803–818. [CrossRef]
- Brown, R.A.; Borst, M. Evaluation of Surface Infiltration Testing Procedures in Permeable Pavement Systems. Journal of Environmental Engineering 2014, 140, 1–12. [CrossRef]
- Chen, X.; Zhao, J.; Chen, L. Experimental and Numerical Investigation of Preferential Flow in Fractured Network with Clogging Process. Math Probl Eng 2014. [CrossRef]





| Catchment Area | Associated Stormwater Outlet(s) | Total Area (Acres) | % Impervious Area | % Permeable Area |
|---|---|---|---|---|
| WC-8 | ME-8 | 21.398 | 60% | 40% |
| EC-2 | ME-16 | 13.739 | 77% | 23% |
| EC-4 | ME-16 | 2.416 | 94% | 6% |
| EC-6 | ME-16 | 12.654 | 41% | 59% |
| EC-9 | ME-16 | 7.366 | 57% | 43% |
| EC-9 Dejope | ME-11. ME-12, ME-13, ME-14 | 6.778 | 61% | 39% |
| EC-10 | ME-16 | 30.01 | 70% | 30% |
| EC-11 | ME-25, ME-26 | 16.133 | 53% | 47% |
| Site Name | Surface Material | Approximate Dimensions | Image of Porous Surface |
|---|---|---|---|
| Dejope Hall Patio | Porous pavers without aggregates | 28.6 x 10.7 m | ![]() |
| Carson Gulley Patio | Porous pavers with aggregates | 22.1 x 9.3 m | ![]() |
| Tripp Hall Bike Parking | Porous concrete | 19.7 x 1.8 m | ![]() |
| Biotron Porous Asphalt Trial | Porous asphalt | 21.6 x 2.4 m | ![]() |
Disclaimer/Publisher’s Note: The statements, opinions and data contained in all publications are solely those of the individual author(s) and contributor(s) and not of MDPI and/or the editor(s). MDPI and/or the editor(s) disclaim responsibility for any injury to people or property resulting from any ideas, methods, instructions or products referred to in the content. |
© 2023 by the authors. Licensee MDPI, Basel, Switzerland. This article is an open access article distributed under the terms and conditions of the Creative Commons Attribution (CC BY) license (http://creativecommons.org/licenses/by/4.0/).



