1. Introduction
Many topologies with important applications in mathematics have been defined using some additional mathematical structure. For example, if a topological space
and an ideal
on
X are given, a new topology (called an ideal topology) can be obtained by an ideal-associated local function. The ideal topological spaces are extensively studied, see [
4,
5,
7,
8,
10]. A similar concept was used for a grill [
9,
13,
14,
15,
16,
17], a filter [
3,
11,
12] and a primal [
1,
2,
6].
In general, we can consider four systems, namely an ideal , a primal , a filter and a grill on a topological space , see Definition 1. A derivation of a new topology that is finer than the original topology is as follows: The local function , , , , see Definition 1, derived from and defines the Kuratowski closure operator , , , , see Definition 3. In the final step, a new topology on X is defined, denoted by , , , , respectively, see Theorem 9. If we look at the achieved results, we can see a striking similarity. In fact, the local functions and topologies generated by this way are equivalent.
The main concept of the article is as follows: Using correspondence between two systems (Theorem 1–6), it is possible to define their equivalence, see Definition 2. Two equivalent systems generate the same topology (Theorem 10), and the results achieved in one topology can be used in a topology determined by an equivalent system. In the last part, we will show the application of this equivalence on examples of compatibility and codense topologies.
Definition 1.
Let X be a nonempty set. A nonempty system , , , of subsets of X is said be an ideal, a primal, a filter, a grill on X if it satisfies the following conditions
respectively. Furthermore, if τ is a topology on X, for we define four local functions
An ideal topological space, a primal topological space, a filter topological space, a grill topological space is a topological space with an ideal , a primal , a filter , a grill and it is denoted by , , , , respectively. Let be a family of all ideals, primals, filters, grills on X, respectively. Put . If , then is called a -topological space.
2. Main Results
In the following two parts we present sixteen operators (Theorem 1–6) between pairs of systems and their properties and compositions are studied. Next, the equivalence between is defined (Definotion 2). The equality of local functions and the equality of generated topologies are proved, provided that and and equivalent.
Define four identity operators
In the next six theorems the proofs of items (1)–(10) are left to the reader. The rest will be proven.
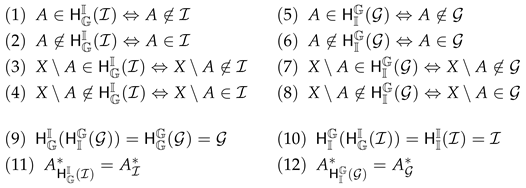
Theorem 1. Let , be an ideal, a primal on X, respectively. Define
by ,
by .
Then , is a primal, an ideal on X, respectively and
Proof. We prove is a primal. Since , .
Let and . Then . Since and is an ideal, , so . Let . Then . Since is an ideal, or is not from . So or . That means is a primal.
We prove is an ideal. Since , .
Let and . Then . Since and is a primal, , so . Let . Then , and . So . That means is an ideal.
(11): if and only if for any nbhd U of x if and only if if and only if .
(12): if and only if for any nbhd U of x if and only if if and only if . □
Theorem 2. Let , be an ideal, a grill on X, respectively. Define
by ,
by .
Then , is a grill, an ideal on X, respectively and
Proof. We prove is a grill. Since , .
Let and . Then . Since is an ideal, , so . Let . Then . Since is an ideal, A or B is not from . So or . That means is a grill.
We prove is an ideal. Since , .
Let and . Then . Since is a grill, , so . Let . Then . Since is a grill, . So . That means is an ideal.
(11): if and only if for any nbhd U of x if and only if if and only if .
(12): if and only if for any nbhd U of x if and only if if and only if . □
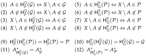
Theorem 3. Let , be a filter, a grill on X, respectively. Define
by ,
by .
Then , is a grill, a filter on X, respectively and
Proof. We prove is a grill. Since , .
Let and . Then . Since is a filter and , , so . Let . Then . Since is an filter, or is not from . So or . That means is a grill.
We prove is a filter. Since , .
Let and . Then . Since is a grill and , , so . Let . Then , . Then . So, . That means is a filter.
(11): if and only if for any nbhd U of x if and only if if and only if .
(12): if and only if for any nbhd U of x if and only if if and only if . □
Theorem 4. Let , be a filter, a primal on X, respectively. Define
by ,
by .
Then , is a primal, a filter on X, respectively and
Proof. We prove is a primal. Since , .
Let and . Then . Since is a filter, , so . Let . Then . Since is a filter, A or B is not from . So or . That means is a primal.
We prove is a filter. Since , .
Let and . Then . Since is a primal, , so . Let . Then . Since is a primal, . So . That means is a filter.
(11): if and only if for any nbhd U of x if and only if if and only if .
(12): if and only if for any nbhd U of x if and only if if and only if . □
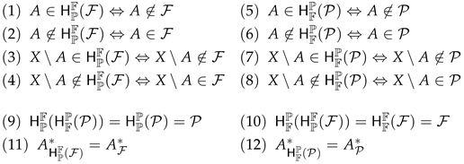
Theorem 5. Let , be a grill, a primal on X, respectively. Define
by ,
by .
Then , is a primal, a grill on X, respectively and
Proof. We prove is a primal. Since , .
Let and . Then . Since is a grill and , , so . Let . Then . Since is a grill, or is from . So or . That means is a primal.
We prove is a grill. Since , .
Let and . Then . Since is a primal and , , so . Let . Then . Since is a primal, or is from . So or . That means is a grill.
(11): if and only if for any nbhd U of x if and only if if and only if .
(12): if and only if for any nbhd U of x if and only if if and only if . □
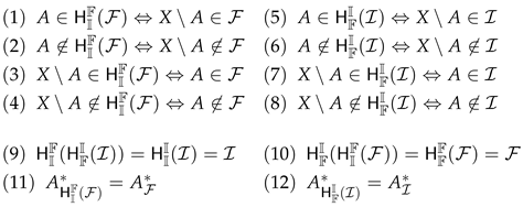
Theorem 6. Let , be a filter, a ideal on X, respectively. Define
by ,
by .
Then , is an ideal, a filter on X, respectively and
Proof. We prove is an ideal. Since , .
Let and . Then . Since and is a filter, , so . Let . Then . Since is a filter, . So . That means is an ideal.
We prove is a filter. Since , .
Let and . Then . Since and is an ideal, , so . Let . Then . Since is an ideal, . So . That means is a filter.
(11): if and only if for any nbhd U of x if and only if if and only if .
(12): if and only if for any nbhd U of x if and only if if and only if . □
Proposition 1. Let . If , then each of the twelve operators from Theorem 1-6 is bijective and , consequently and are mutually inverse, so .
Proof. It follows from Theorem 1-6 items (9) and (10). □
Proposition 2. , , , .
Proof.
, , ⇔, respectively. So, , .
, , , respectively. So, , . □
Proposition 3. Let . The next conditions are equivalent
- (1)
(2)
- (3)
(4)
- (5)
(6)
Proof.
:
⇔⇔
:
⇔
:
⇔⇔
:
⇔
:
⇔⇔□
Proposition 4. Let . Then for 64 possibilities the equation holds.
Proof. By Proposition 2 and Proposition 3, the equation
holds for 24 possibilities (
are mutually different):
Other cases for are trivial:
(12 possibilities), (12 possibilities),
(12 possibilities), (4 possibilities).
□
For a composition of finitely many operators, the domain (the codomain) of the resulting operator is equal to the domain (codomain) of the first (last) operator and the value of local function is independent on the operators as the following theorem states.
Theorem 7.
Let , and . Then
Consequently,
- (1)
- (2)
- (3)
- (4)
Proof. For the first equation we use the mathematical induction. If , it follows from Proposition 4. Suppose the equation holds for . Then
, by Proposition 4. The second equation follows from the first one and from Theorem 1–6. □
The set consisting of 16 operators is enclosed under composition. The results can be interpreted by the next diagram.

3. Applications
We have defined 16 operators, which can be expressed by one notation where . Between the members of and the members of we can define an equivalence as the next definition states. Note if , then for some .
Definition 2. Let . is equivalent to if and where , and . This relation is denoted by .
Lemma 1. For any , where and . Moreover, ∼ is an equivalence relation.
Proof. Since and , . It is clear ∼ is reflexive and symmetric. Let . Then and and , so . □
In the next definition we define a dual operator
(see [
5]) to the operator
and a closure
and an interior
operator.
Definition 3. Let . Define the next operators
Lemma 2. Let . If , then , , , . Consequently, if , then .
Proof. Suppose . Then . By Theorem 7, . Other equalities are obvious. □
Remark 1. It is well known (see for example [7]) that an ideal topology derived from a topology τ on a set X and an ideal on X is defined by a Kuratowski closure operator and is finer then τ. A base for is described as and .
In the literature we can find many properties of local functions. Designation of operators is different. For example,
,
in [
1] or
,
in [
15]. We will list some of them below regardless of what system
they apply to.
Theorem 8. Let . Then
-
(1)
,
-
(2)
If , then ,
-
(3)
,
-
(4)
,
-
(5)
,
-
(6)
If , then ,
-
(7)
,
-
(8)
.
Proof. Let
. Then
, by Theorem 7. Since all items hold for
(see for example [
7]), they hold for
. □
Similarly, the next theorem holds for , so it holds for any .
Theorem 9. Let . A family is a topology finer then τ and the next conditions are equivalent.
-
(1)
,
-
(2)
,
-
(3)
,
-
(4)
,
-
(5)
,
-
(6)
,
-
(7)
.
Theorem 10. Let . If , then . Consequently, if , then . A simple base for the open sets of is described as follows:
,
,
,
, respectively.
Proof. The equality follows from Lemma 2.
By Remark 1, is a base for . if and only if where and if and only if where and (by Theorem 1 (4)), so if and only if where and (by Theorem 4 (5)), so if and only if where and (by Theorem 3 (4)), so . □
Definition 4. A set A is -small (-small, -small, -small) if (, , ) and A is locally -small (-small, -small, -small) if for any there is a set containing a such that is -small (-small, -small, -small). Let . is said to be compatible with τ if any locally -small set is -small, denoted by .
Remark 2. Let . Then , . So, . That means if and , a set A is -small (locally -small) if and only if A is -small (locally -small) and if and only if . Consequently,
-
(1)
If , then .
-
(2)
If , then .
-
(3)
If , then .
-
(4)
If , then .
In the theory of ideal topological spaces there are several characterizations of compatibility. For
the most common equivalent conditions are as follows (see for example [
5,
7]).
Theorem 11. The next are equivalent
-
(1)
,
-
(2)
for every , if , then ,
-
(3)
for every , ,
-
(4)
for every , if , then ,
-
(5)
for every , .
Regardless of a concept we work in, a compatibility of can be characterized by another equivalent system and by operators and .
Theorem 12. Let . If , then the next are equivalent
-
(1)
,
-
(2)
for every , if , then A is -small,
-
(3)
for every , is -small,
-
(4)
for every , if , then A is -small,
-
(5)
for every , is -small.
Proof. Let where . Since , if and only if (by Remark 2), A is -small if and only if A is -small (by Remark 2), , (by Lemma 2). Then the next are equivalent (note )
- (1)
,
- (i)
,
- (ii)
for every , if , then A is -small,
- (iii)
for every , is -small,
- (iv)
for every , if , then A is -small,
- (v)
for every , is -small.
- (2)
for every , if , then A is -small,
- (3)
for every , is -small,
- (4)
for every , if , then A is -small,
- (5)
for every , is -small.
□
Remark 3. Note, in a primal case (see for example [1]) a compatibility is called "a topology suitable for a primal". More precisely, we prove τ is suitable for a primal if and only if is compatible with τ. Proof: τ is suitable for a primal if and only if whenever (see [1] Theorem 4.2) if and only if whenever if and only if A is -small whenever if and only if A is -small whenever if and only if is compatible with τ.
Definition 5. A set A is -big (-big, -big, -big) if A is not -small (-small, -small, -small), equivalently (, , ). Let . A topology τ is -codense, if any nonempty open set is -big.
Remark 4. Let . Then , , . So, . That means if and , a set A is -big if and only if A is -big and τ is -codense if and only if τ is -codense.
From the theory of ideal topological spaces we have the next characterization.
Theorem 13. τ is -codense if and only if .
The property of being -codense can be characterized by the operators and with respect to another equivalent system .
Theorem 14. Let . If , then the next are equivalent
-
(1)
τ is -codense,
-
(2)
,
-
(3)
.
Proof. Let where . Then . By Remark 4 and Theorem 13, is -codense if and only if is -codense if and only if is -codense if and only if (by Theorem 7), so . The equivalence follows from equation . □