Submitted:
03 June 2024
Posted:
03 June 2024
You are already at the latest version
Abstract

Keywords:
1. Introduction
2. Materials and Methods
2.1. Fermentation of Broad Bean Paste-Meju under Different Salt Concentrations
2.2. Physicochemical Properties
2.3. E-Nose Analysis
2.4. Volatile Flavor Compounds Analysis
2.4.1. SPME Method
2.4.2. GC×GC-MS Instrumental Analysis Method
2.5. DNA Extraction and High-Throughput Sequencing Analysis
2.6. Statistical Analysis
3. Results and Discussion
3.1. Physicochemical Properties during Fermentation of BBP-Meju with Different Salt Concentrations
3.2. Changes of FAA Composition during Fermentation of BBP-Meju with Different Salt Concentrations
3.3. Changes of OA Composition during Fermentation of BBP-Meju with Different Salt Concentrations
3.4. Analysis of E-Nose Response during BBP-Meju Fermentation with Different Salt Concentrations
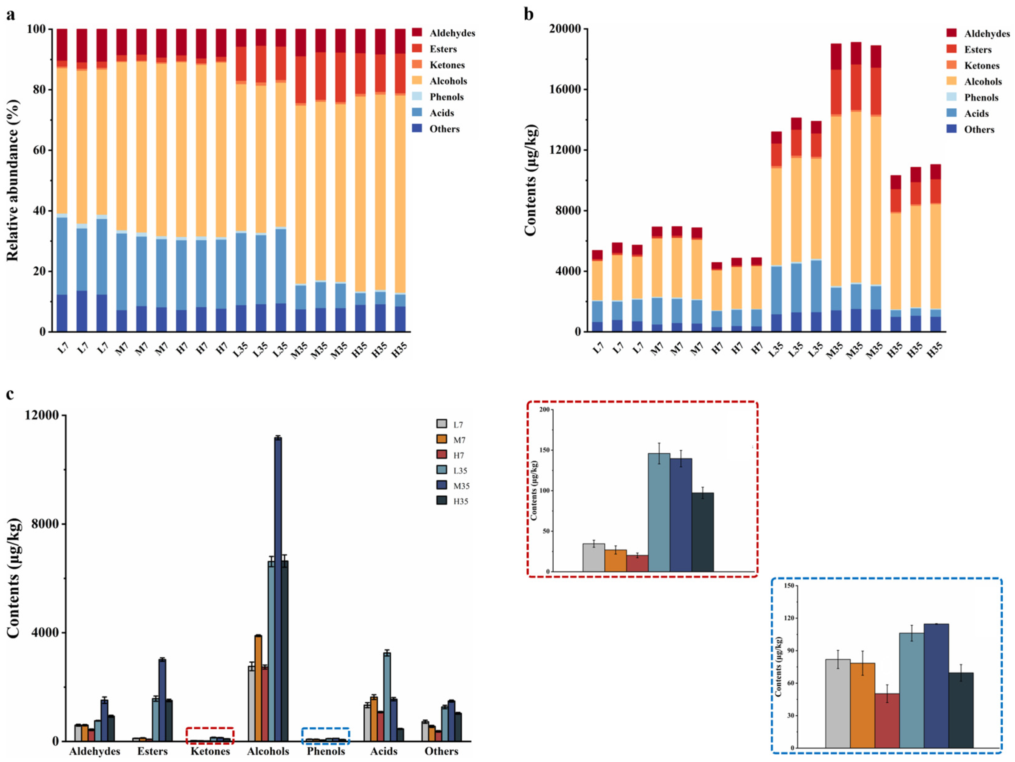
3.5. Volatile Flavor Profile during BBP-Meju Fermentation with Different Salt Concentrations
3.6. Analysis of Microbial Community during Fermentation of BBP-Meju with Different Salt Concentrations
3.6.1. Analysis of Abundance of Microbial Community
3.6.2. Analysis of Microbial Community Structure
3.7. Correlation of Microbial Community with Volatile Flavor Compounds
4. Conclusions
Supplementary Materials
Author Contributions
Funding
Institutional Review Board Statement
Informed Consent Statement
Data Availability Statement
Conflicts of Interest
References
- Qiao, Y.; Zhang, K.; Zhang, Z.; Zhang, C.; Sun, Y.; Feng, Z. Fermented soybean foods: A review of their functional components, mechanism of action and factors influencing their health benefits. Food Res. Int 2022, 158, 111575. [Google Scholar] [CrossRef] [PubMed]
- Lu, Y.; Chi, Y.; Lv, Y.; Yang, G., & He, Q. Evolution of the volatile flavor compounds of chinese horse bean-chili-paste. LWT 2019, 102, 131-135. [CrossRef]
- Lu, Y.; Yang, L.; Yang, G.; Chi, Y.; Sun, Q., & He, Q. Insight into the fermentation of chinese horse bean-chili-paste. Food Rev. Int 2020, 37, 1-23. [CrossRef]
- Li, H.; Deng, W.; Lu, Z.; Li, X.; Fan, Z.; Zhang, Q.; Chen, G.; Li, Q.; Ma, Y., & Xu, Z.-H. Salinity plays a dual role in broad bean paste-meju fermentation. LWT 2023, 173, 114181. [CrossRef]
- Lu, Y.; Tan, X.; Lv, Y.; Yang, G.; Chi, Y., & He, Q. Physicochemical properties and microbial community dynamics during chinese horse bean-chili-paste fermentation, revealed by culture-dependent and culture-independent approaches. Food Microbiol 2020, 85, 103309. [CrossRef]
- Li, M.; Fan, W., & Xu, Y. Identification of angiotensin converting enzyme (ace) inhibitory and antioxidant peptides derived from pixian broad bean paste. LWT 2021, 151, 112221. [CrossRef]
- Lin, H.; Zhao, J.; Xie, Y.; Tang, J.; Wang, Q.; Zhao, J.; Xu, M., & Liu, P. Identification and molecular mechanisms of novel antioxidant peptides from fermented broad bean paste: A combined in silico and in vitro study. Food Chem 2024, 450, 139297. [CrossRef]
- Sichuan Province, Chengdu City, Pi County Technical Supervision Committee; PI County Food Industry Association; Sichuan Pixian Douban Co., & Sichuan Dandan Seasoning Co. 2015. Product of geographical indication-Pixian douban. In (vol GB/T 20560-2006, pp.1): General Administration of Quality Supervision, Inspection and Quarantine of the People‘s Republic of China; National Standardization Administration of China.
- Wu, M.; Wu, X.; Zhu, J.; Li, F.; Wei, X. , & Wang, Y. Selenium-enriched and ordinary green tea extracts prevent high blood pressure and alter gut microbiota composition of hypertensive rats caused by high-salt diet. Food Sci. Hum. Wellness 2022, 11(3), 738–751. [Google Scholar] [CrossRef]
- Lin, X.; Tang, Y.; Hu, Y.; Lu, Y.; Sun, Q.; Lv, Y.; Zhang, Q.; Wu, C.; Zhu, M.; He, Q., & Chi, Y. Sodium reduction in traditional fermented foods: Challenges, strategies, and perspectives. J. Agric. Food Chem 2021, 69 (29), 8065-8080. [CrossRef]
- Chen, H. C.; Cao, J.; Zhang, Y.; Ma, Y.; Zhang, L.; Su, X.; Gao, L., & Jing, Y. High salt diet exacerbates cognitive deficits and neurovascular abnormalities in app/ps1 mice and induces ad-like changes in wild-type mice. J. Nutr. Biochem 2024, 125, 109570. [CrossRef]
- Webster, J.; Trieu, K.; Dunford, E., & Hawkes, C. Target salt 2025: A global overview of national programs to encourage the food industry to reduce salt in foods. Nutrients 2014, 6, 3274-3287. [CrossRef]
- National Nutrition Program (2017-203). Acta Nutrimenta Sinica 2017, 39(04), 315–320. [CrossRef]
- Codina, G.; Voinea, A., & Dabija, A. Strategies for reducing sodium intake in bakery products, a review. Appl. Sci 2021, 11, 3093. [CrossRef]
- Chun, B. H.; Kim, K. H.; Jeong, S. E., & Jeon, C. O. The effect of salt concentrations on the fermentation of doenjang, a traditional korean fermented soybean paste. Food Microbiol 2020, 86, 103329. [CrossRef]
- Jiang, L.; Shen, S.; Zuo, A.; Chi, Y.; Lu, Y., & He, Q. Unveiling the aromatic differences of low-salt chinese horse bean-chili-paste using metabolomics and sensomics approaches. Food Chem 2024, 445, 138746. [CrossRef]
- Yang, Y.; Niu, C.; Shan, W.; Zheng, F.; Liu, C.; Wang, J., & Li, Q. Physicochemical, flavor and microbial dynamic changes during low-salt doubanjiang (broad bean paste) fermentation. Food Chem 2021, 351, 128454. [CrossRef]
- Lin, H.; Liao, S.; Zhou, Z.; Yan, Z.; Zhao, J.; Xiang, Y.; Xu, M.; Zhao, J.; Liu, P.; Ding, W.; Rao, Y. , & Tang, J. Investigation into the potential mechanism of bacillus amyloliquefaciens in the fermentation of broad bean paste by metabolomics and transcriptomics. Food Res. Int. 2024, 183, 114202. [Google Scholar] [CrossRef] [PubMed]
- Kim, M. J.; Kwak, H. S., & Kim, S. S. Effects of salinity on bacterial communities, maillard reactions, isoflavone composition, antioxidation and antiproliferation in korean fermented soybean paste (doenjang). Food Chem 2018, 245, 402-409. [CrossRef]
- Liang, J.; Li, D.; Shi, R.; Wang, J.; Guo, S.; Ma, Y. , & Xiong, K. Effects of microbial community succession on volatile profiles and biogenic amine during sufu fermentation. LWT 2019, 114, 108379. [Google Scholar] [CrossRef]
- Zhao, C.; Kim, D., & Eun, J. Physicochemical properties and bacterial community dynamics of hongeo, a korean traditional fermented skate product, during fermentation at 10 °c. LWT 2019, 104, 109-119. [CrossRef]
- Gil, N. Y.; Song, J.; Eom, J.; Park, S. Y., & Choi, H. S. Changes of physicochemical properties of cheonggukjang prepared with various soybean cultivars and bacillus subtilis hj18-9. Korean J. Food Preserv. 2016, 23, 811-818. [CrossRef]
- DuBois, M.; Gilles, K. A.; Hamilton, J. K.; Rebers, P. A. , & Smith, F. Colorimetric method for determination of sugars and related substances. Anal. Chem. 1956, 28(3), 350–356. [Google Scholar] [CrossRef]
- Ding, W.; Ye, X.; Zhao, X.; Liu, Y.; Zhang, M.; Luo, Y.; Xiong, Y.; Liu, Y.; Che, Z.; Lin, H.; Huang, J., & Tang, X. Fermentation characteristics of pixian broad bean paste in closed system of gradient steady-state temperature field. Food Chem 2022, 374, 131560. [CrossRef]
- Lin, H.; Yu, X.; Fang, J.; Lu, Y.; Liu, P.; Xing, Y.; Wang, Q.; Che, Z. , & He, Q. Flavor compounds in pixian broad-bean paste: Non-volatile organic acids and amino acids. Molecules (Basel, Switzerland) 2018, 23, 1299. [Google Scholar] [CrossRef] [PubMed]
- Gao, L.; Liu, T.; An, X.; Zhang, J.; Ma, X., & Cui, J. Analysis of volatile flavor compounds influencing chinese-type soy sauces using gc–ms combined with hs-spme and discrimination with electronic nose. J. Food Sci. Technol. 2017, 54. [CrossRef]
- Xu, D.; Wang, P.; Zhang, X.; Zhang, J.; Sun, Y.; Gao, L. , & Wang, W. High-throughput sequencing approach to characterize dynamic changes of the fungal and bacterial communities during the production of sufu, a traditional chinese fermented soybean food. Food Microbiol. 2020, 86, 103340. [Google Scholar] [CrossRef]
- Li, Z.; Zhao, C.; Dong, L.; Zhang, F.; Wang, X.; Zhao, S., & Li, L. Impact of nacl on physicochemical properties, microbial community, and pathogen surveillance in the chinese traditional fermented broad bean (vicia faba l.) paste. LWT 2024, 199, 116071. [CrossRef]
- Zhang, L.; Xiong, S.; Du, T.; Xiao, M.; Peng, Z.; Xie, M.; Guan, Q. , & Xiong, T. Effects of microbial succession on the dynamics of flavor metabolites and physicochemical properties during soy sauce koji making. Food Biosci 2023, 53, 102636. [Google Scholar] [CrossRef]
- Shukla, S.; Park, J.; Kim, D. H.; Hong, S. Y.; Lee, J. S., & Kim, M. Total phenolic content, antioxidant, tyrosinase and α-glucosidase inhibitory activities of water soluble extracts of noble starter culture doenjang, a korean fermented soybean sauce variety. Food Control 2016, 59, 854-861. [CrossRef]
- Zhang, P.; Zhang, P.; Wu, J.; Tao, D., & Wu, R. Effects of leuconostoc mesenteroides on physicochemical and microbial succession characterization of soybean paste, da-jiang. LWT 2019, 115, 108028. [CrossRef]
- Yu, S.; Song, J.; Hu, T.; Wang, J.; Liu, X.; Zheng, Y.; Shi, L.; Wan, S. , & Wang, M. Unraveling the core functional bacteria and their succession throughout three fermentation stages of broad bean paste with chili. Food Sci. Hum. Wellness 2022, 11(4), 874–885. [Google Scholar] [CrossRef]
- Jo, Y.; Bang, W.; Kim, M.K. Changes of physiochemical and enzymatic activities of doenjang prepared with different amount of rice koji during 30 days of fermentation. Foods 2021, 10(2), 372. [Google Scholar] [CrossRef] [PubMed]
- Zhao, C. J.; Schieber, A., & Gänzle, M. G. Formation of taste-active amino acids, amino acid derivatives and peptides in food fermentations – a review. Food Res. Int. 2016, 89, 39-47. [CrossRef]
- Wang, D. (2013). Catalytic kinetics of Aspergillus oryzae protease in high-salt environment and its application in soy sauce fermenation. Jiangna n University 2013.
- Shukla, S.; Choi, T. B.; Park, H.-K.; Kim, M.; Lee, I. K., & Kim, J.-K. Determination of non-volatile and volatile organic acids in korean traditional fermented soybean paste (doenjang). ood Chem Toxicol 2010, 48 (8), 2005-2010. [CrossRef]
- Yang, M.; Huang, J.; Zhou, R.; Qi, Q.; Peng, C.; Zhang, L.; Jin, Y. , & Wu, C. Characterizing the microbial community of pixian doubanjiang and analysing the metabolic pathway of major flavour metabolites. LWT 2021, 143, 111170. [Google Scholar] [CrossRef]
- Wu, S.; Yang, J.; Dong, H.; Liu, Q.; Li, X.; Zeng, X., & Bai, W. Key aroma compounds of chinese dry-cured spanish mackerel (scomberomorus niphonius) and their potential metabolic mechanisms. Food Chem 2021, 342, 128381. [CrossRef]
- Lan, T.; Wang, J.; Yuan, Q.; Lei, Y.; Peng, W.; Zhang, M.; Li, X.; Sun, X., & Ma, T. Evaluation of the color and aroma characteristics of commercially available chinese kiwi wines via intelligent sensory technologies and gas chromatography-mass spectrometry. Food Chem X 2022, 15, 100427. [CrossRef]
- Zhao, C.; Fan, W. , & Xu, Y. Characterization of key aroma compounds in pixian broad bean paste through the molecular sensory science technique. LWT 2021, 148, 111743. [Google Scholar] [CrossRef]
- Jia, Y.; Niu, C.; Lu, Z.; Zhang, X.; Chai, L.; Shi, J.; Xu, Z. , & Li, Q. A bottom-up approach to develop a synthetic microbial community model: Application for efficient reduced-salt broad bean paste fermentation. Appl Environ Microbiol 2020, 86(12), e00306–e00320. [Google Scholar] [CrossRef] [PubMed]
- Gao, P.; Jiang, Q.; Xu, Y., & Xia, W. Biosynthesis of acetate esters by dominate strains, isolated from chinese traditional fermented fish (suan yu). Food Chem 2018, 244, 44-49. [CrossRef]
- Li, X.; Zhao, C.; Zheng, C.; Liu, J.; Vu, V. H.; Wang, X. , & Sun, Q. Characteristics of microbial community and aroma compounds in traditional fermentation of pixian broad bean paste as compared to industrial fermentation. Int. J. Food Prop 2017, 20, S2520–S2531. [Google Scholar] [CrossRef]
- Xie, M.; An, F.; Zhao, Y.; Wu, R., & Wu, J. Metagenomic analysis of bacterial community structure and functions during the fermentation of da-jiang, a chinese traditional fermented food. LWT 2020, 129, 109450. [CrossRef]
- Wang, Y.; Sheng, H.; He, Y.; Wu, J.; Jiang, Y.; Tam, N. F. Y., & Zhou, H. Comparison of the levels of bacterial diversity in freshwater, intertidal wetland, and marine sediments by using millions of illumina tags. Appl Environ Microbiol 2012, 78 (23), 8264-8271. [CrossRef]
- Grice, E.; Kong, H.; Conlan, S.; Deming, C.; Davis, J.; Young, A.; Bouffard, G.; Blakesley, R.; Murray, P.; Green, E.; Turner, M., & Segre, J. Topographical and temporal diversity of the human skin microbiome. Science (New York, N.Y.) 2009, 324, 1190-1192. [CrossRef]
- Zhou, H.; Zhang, S.; Zhao, B.; Li, S.; Pan, X.; Ren, S.; Qu, C., & Cheng, X. Effect of starter culture mixture of Staphylococcus xylosus and S. carnosus on the quality of dry-cured meat. Food Sci 2018, 39 (22), 32-38.
- Yao, S.; Zhou, R.; Jin, Y.; Zhang, L.; Huang, J. , & Wu, C. Co-culture with tetragenococcus halophilus changed the response of zygosaccharomyces rouxii to salt stress. Process Biochemistry 2020, 95, 279–287. [Google Scholar] [CrossRef]
- Zhao, G.; Hou, L.; Yao, Y.; Wang, C., & Cao, X. Comparative proteome analysis of aspergillus oryzae 3.042 and a. Oryzae 100-8 strains: Towards the production of different soy sauce flavors. J Proteomics 2012, 75, 3914-3924. [CrossRef]
- Bull, S. M.; Yong, F. M. , & Wong, H. A. The production of aroma by aspergillus oryzae during the preparation of soy sauce koji. Food Chem 1985, 17(4), 251–264. [Google Scholar] [CrossRef]
- Xiwerwanimu, A.; Hainiziguli, N.; Zhao, Q.; Li, S.; Liu, J.; Zhao, H., & Zhao, H. Effects of Bacillus subtilis J-15 secondary metabolites against Verticillium dahliae on diversity of soil fungi. Microbio China 2021, 48 (06), 1997-2007. [CrossRef]
- Han, D. M.; Chun, B. H.; Kim, H. M. , & Jeon, C. O. Characterization and correlation of microbial communities and metabolite and volatile compounds in doenjang fermentation. Food Res. Int. 2021, 148, 110645. [Google Scholar] [CrossRef] [PubMed]
- Zha, M.; Sun, B.; Wu, Y.; Yin, S. , & Wang, C. Improving flavor metabolism of saccharomyces cerevisiae by mixed culture with wickerhamomyces anomalus for chinese baijiu making. J. Biosci. Bioeng. 2018, 126(2), 189–195. [Google Scholar] [CrossRef] [PubMed]
- Zhong, A.; Chen, W.; Duan, Y.; Li, K.; Tang, X.; Tian, X.; Wu, Z.; Li, Z.; Wang, Y. , & Wang, C. The potential correlation between microbial communities and flavors in traditional fermented sour meat. LWT 2021, 149, 111873. [Google Scholar] [CrossRef]
- Chen, Z.; Geng, Y.; Wang, M.; Lv, D.; Huang, S.; Guan, Y., & Hu, Y. Relationship between microbial community and flavor profile during the fermentation of chopped red chili (capsicum annuum l.). Food Biosci 2022, 50, 102071. [CrossRef]
- Passoth, V.; Fredlund, E.; Druvefors, U., & Schnürer, J. Biotechnology, physiology and genetics of the yeast pichia anomala. FEMS Yeast Res 2006, 6, 3-13. [CrossRef]
- Walker, G. M. Pichia anomala: Cell physiology and biotechnology relative to other yeasts. Antonie van Leeuwenhoek 2011, 99(1), 25–34. [Google Scholar] [CrossRef]








| Compounds | CAS N. | RI | MW | L7 | M7 | H7 | L35 | M35 | H35 |
|---|---|---|---|---|---|---|---|---|---|
| Aldehydes | |||||||||
| Benzaldehyde | 100-52-7 | 1520 | 106 | 211.20±25.03 | 202.72±31.54 | 105.28±6.93 | 375.42±26.64 | 901.52±142.50 | 590.74±18.71 |
| Apricolin | 104-61-0 | 2024 | 156 | 5.64±1.15 | 7.83±1.50 | 4.15±0.37 | 8.64±1.39 | 13.08±2.51 | 8.01±0.96 |
| Valeraldehyde | 110-62-3 | 979 | 86 | 21.04±2.31 | 20.42±1.24 | 23.94±2.85 | n.d. | n.d. | n.d. |
| Phenylacetaldehyde | 122-78-1 | 1641 | 120 | 184.42±37.72 | 165.04±16 | 103.33±14.12 | 62.40±7.80 | 123.84±15.01 | 78.05±6.01 |
| Crotonaldehyde | 123-73-9 | 1039 | 70 | 12.96±2.58 | 9.97±1.44 | 4.77±0.34 | n.d. | n.d. | n.d. |
| Nonanal | 124-19-6 | 1391 | 142 | 18.64±2.42 | 5.52±0.65 | 5.97±0.60 | 6.48±0.64 | 10.92±1.50 | 7.00±0.93 |
| 2-Phenyl-5-methyl-2-hexenal | 21834-92-4 | 2056 | 188 | 3.14±0.36 | 4.18±0.27 | 1.91±0.39 | 0.86±0.06 | 4.39±0.59 | 3.29±0.33 |
| 2-Phenyl-2-butenal | 4411-89-6 | 1925 | 146 | 1.99±0.53 | 46.13±4.22 | 18.71±2.08 | 41.02±3.72 | 78.61±3.39 | 37.57±1.38 |
| 2-Heptenal | 57266-86-1 | 1322 | 112 | 62.46±27.04 | 54.47±8.83 | 73.33±7.26 | 127.99±9.04 | 197.97±7.72 | 71.04±4.18 |
| Hexanal | 66-25-1 | 1083 | 100 | 77.79±22.37 | 83.92±4.55 | 90.47±6.70 | 129.98±8.11 | 177.17±7.27 | 125.81±17.98 |
| 5-Hydroxymethylfurfural | 67-47-0 | 2496 | 126 | n.d. | n.d. | n.d. | 10.31±1.34 | 11.90±2.54 | 7.61±0.58 |
| Esters | |||||||||
| Ethyl phenylacetate | 101-97-3 | 1783 | 164 | 7.71±1.34 | 4.30±0.30 | 2.13±0.91 | 12.83±0.24 | 27.91±2.48 | 12.99±2.23 |
| Phenethyl acetate | 103-45-7 | 1813 | 164 | 30.33±2.36 | 17.33±4.73 | 8.01±0.71 | 59.10±7.29 | 171.31±4.41 | 97.81±14.24 |
| Ethyl isovalerate | 108-64-5 | 1068 | 130 | 21.34±3.94 | 33.77±7.24 | 32.74±6.23 | 114.48±14.71 | 194.59±5.08 | 74.18±6.29 |
| Isobutyl acetate | 110-19-0 | 1012 | 116 | n.d. | n.d. | n.d. | 49.14±5.77 | 85.72±6.25 | 36.79±2.29 |
| Isoamyl acetate | 123-92-2 | 1123 | 130 | 33.55±4.54 | 42.07±8.34 | 26.73±3.94 | 1105.69±69.78 | 2318.01±50.17 | 1214.85±36.47 |
| Ethyl acetate | 141-78-6 | 888 | 88 | n.d. | n.d. | n.d. | 115.82±4.42 | 4.04±0.86 | n.d. |
| Hexyl acetate | 142-92-7 | 1273 | 144 | n.d. | n.d. | n.d. | 12.54±1.81 | 5.97±1.79 | 4.76±0.60 |
| 3-Hydroxydihydro-2(3H)-furanone | 19444-84-9 | 2142 | 102 | 2.89±0.27 | 7.27±0.65 | 2.65±0.37 | 8.96±1.06 | 19.77±4.84 | 13.33±3.04 |
| Pentyl acetate | 628-63-7 | 1176 | 130 | n.d. | n.d. | n.d. | 29.56±5.74 | 4.95±0.84 | 20.61±3.79 |
| Ethyl palmitate | 628-97-7 | 2251 | 284 | 20.02±3.69 | 22.43±6.14 | 8.70±0.75 | 22.59±2.25 | 141.25±10.07 | 19.42±2.13 |
| Isoamyl isovalerate | 659-70-1 | 1293 | 172 | n.d. | n.d. | n.d. | 26.40±1.51 | 26.07±3.15 | 9.30±1.10 |
| Oct-1-en-1-yl acetate | 77149-68-9 | - | 170 | n.d. | n.d. | n.d. | 18.99±3.29 | 13.06±1.52 | 4.14±0.78 |
| Ketones | |||||||||
| 3-Octanone | 106-68-3 | 1253 | 128 | n.d. | n.d. | n.d. | 107.83±13.27 | 100.55±8.66 | 66.61±4.30 |
| 6-Methylhept-5-en-2-one | 110-93-0 | 1339 | 126 | 5.30±0.61 | 7.51±0.97 | 4.81±0.56 | 6.03±0.78 | 10.69±2.43 | 6.10±1.01 |
| 2-Octanone | 111-13-7 | 1287 | 128 | 18.48±4.47 | 15.09±5.06 | 13.68±2.29 | 29.07±5.59 | 25.06±3.17 | 24.57±4.55 |
| 1-Indanone | 83-33-0 | 1969 | 132 | 10.80±1.20 | 4.31±1.17 | 1.71±0.17 | 2.98±0.24 | 3.27±0.56 | n.d. |
| Alcohols | |||||||||
| 2-Ethylhexanol | 104-76-7 | 1491 | 130 | 2.64±0.36 | 2.31±0.65 | 1.99±0.44 | 4.36±0.87 | 2.16±0.76 | 1.22±0.35 |
| 7-Oxabicyclo [4.1.0]heptan-2-ol | 1192-78-5 | - | 114 | 63.57±11.36 | 53.02±7.55 | 53.54±6.46 | 26.54±3.12 | 50.92±6.88 | 58.01±4.96 |
| 3-Methyl-1-butanol | 123-51-3 | 1209 | 88 | 257.77±27.04 | 493.88±35.04 | 356.84±32.37 | 1555.05±124.29 | 2279.02±23.54 | 987.25±54.18 |
| 1-Nonanol | 143-08-8 | 1660 | 144 | 2.11±0.57 | n.d. | n.d. | 614.12±33.58 | 1018.33±69.98 | 1555.05±29.24 |
| 4-Phenyl-3-buten-2-ol | 17488-65-2 | - | 148 | n.d. | n.d. | n.d. | 5.94±1.52 | 11.41±1.91 | 5.08±0.97 |
| Trans-2-Octen-1-ol | 18409-17-1 | 1613 | 128 | n.d. | 123.7±10.07 | 79.07±8.03 | 62.23±7.46 | 71.87±6.98 | 56.19±4.73 |
| DL-β-Ethylphenethyl alcohol | 2035-94-1 | 1978 | 150 | n.d. | n.d. | n.d. | 9.05±1.38 | 12.01±2.26 | 4.88±1.35 |
| 2-Nonen-1-ol | 22104-79-6 | 1692 | 142 | n.d. | n.d. | n.d. | 12.71±2.43 | 30.80±1.85 | 16.21±1.14 |
| Hexaethyleneglycol | 2615-15-8 | - | 282 | 22.43±4.92 | 75.40±6.24 | 84.44±7.47 | 61.33±13.09 | 173.39±18.23 | 12.71±0.94 |
| 1-Octen-3-ol | 3391-86-4 | 1450 | 128 | 1089.31±80.20 | 1955.59±88.13 | 1273.05±57.24 | 1503.75±104.23 | 2574.37±90.06 | 1215.44±66.28 |
| 3-Methylthiopropanol | 505-10-2 | 1719 | 106 | 25.75±3.18 | 24.68±4.64 | 15.07±3.10 | 105.89±7.47 | 127.21±2.27 | 1585.01±15.91 |
| 3,6,9,12,15,18,21-Heptaoxatricosane-1,23-diol | 5117-19-1 | - | 370 | 451.37±23.44 | 421.89±67.97 | 277.92±25.86 | 1257.43±41.33 | 2234.17±82.86 | 66.16±3.62 |
| 2,3-Butanediol | 513-85-9 | 1543 | 90 | 16.22±2.31 | 11.92±2.01 | 11.72±2.61 | 47.86±6.41 | 269.48±6.66 | 516.18±19.89 |
| 2-Heptanol | 543-49-7 | 1320 | 116 | n.d. | 0.67±0.06 | 0.65±0.15 | 3.92±1.33 | 4.98±0.55 | 2.18±0.50 |
| Heptaethylene glycol | 5617-32-3 | - | 326 | 750.05±15.98 | 618.79±27.42 | 517.64±36.38 | 1133.89±103.43 | 1687.66±51.89 | 1092.49±87.83 |
| Glycerol | 56-81-5 | 2303 | 92 | n.d. | 20.35±3.68 | n.d. | 57.41±6.31 | 313.04±35.48 | 712.67±29.45 |
| 3-Octyl alcohol | 589-98-0 | 1393 | 130 | 20.80±9.84 | 28.42±4.40 | 24.21±4.9 | 49.39±6.73 | 117.58±6.76 | 105.33±14.29 |
| Ethanol | 64-17-5 | 932 | 46 | 32.05±3.62 | 13.22±1.70 | 2.88±0.70 | 35.72±3.41 | 117.03±8.52 | 7.74±1.12 |
| Butanol | 71-36-3 | 1142 | 74 | 2.54±0.46 | 1.91±0.24 | 2.31±0.72 | 3.97±1.06 | 8.01±0.43 | 6.16±0.81 |
| Pentanol | 71-41-0 | 1250 | 88 | 16.09±3.36 | 15.23±3.16 | 17.28±3.19 | 42.04±5.10 | 28.54±4.10 | 21.05±2.05 |
| Isobutanol | 78-83-1 | 1092 | 74 | n.d. | 16.89±4.27 | 12.81±2.96 | 4.38±0.15 | 9.69±1.25 | 16.02±1.42 |
| Furfuryl alcohol | 98-00-0 | 1661 | 98 | 10.31±1.27 | 13.74±3.76 | 6.32±0.56 | 23.23±4.86 | 34.04±1.94 | 20.60±2.27 |
| Phenols | |||||||||
| Phenol | 108-95-2 | 2000 | 94 | 37.53±2.95 | 32.10±5.87 | 20.88±6.79 | 88.39±5.72 | 58.85±3.54 | 24.00±3.16 |
| Phenol,2-methoxy-4-(1E)-1-propen-1-yl | 5932-68-3 | 2362 | 164 | 5.17±0.66 | n.d. | 0.43±0.05 | 11.36±2.70 | n.d. | 6.04±0.64 |
| 4-Hydroxy-3-methoxystyrene | 7786-61-0 | 2188 | 150 | 4.43±2.34 | 7.63±1.99 | 4.24±0.85 | 1.27±0.07 | 10.29±1.25 | 6.50±0.97 |
| 1-Naphthalenol | 90-15-3 | - | 144 | 2.19±0.60 | 3.03±0.46 | 3.67±0.46 | 3.87±0.60 | 9.51±1.12 | 12.97±2.35 |
| 2,4-Di-t-butylphenol | 96-76-4 | 2321 | 206 | 32.58±3.39 | 35.69±7.33 | 21.06±1.74 | 1.27±0.29 | 36.01±3.30 | 20.01±1.92 |
| Acids | |||||||||
| Octanoic acid | 124-07-2 | 2060 | 144 | 10.17±1.34 | 14.08±4.26 | 4.63±1.05 | 14.57±2.34 | 32.33±1.29 | 12.16±1.72 |
| 3,6,9-Trioxaundecanedioic acid | 13887-98-4 | - | 222 | n.d. | n.d. | n.d. | 68.78±10.04 | 16.22±0.90 | 6.42±0.67 |
| 3-Methylbutanoic acid | 503-74-2 | 1666 | 102 | 176.89±15.88 | 304.65±34.84 | 199.65±18.91 | 374.81±21.66 | 1246.03±45.46 | 313.80±25.25 |
| Acetic acid | 64-19-7 | 1449 | 60 | 1131.94±98.26 | 1292.95±74.64 | 863.68±41.96 | 2765.65±85.66 | 202.76±39.63 | 101.72±8.92 |
| Agaric acid | 666-99-9 | - | 416 | 5.64±1.22 | 2.37±0.61 | 2.22±0.51 | 17.38±1.52 | 14.99±2.76 | 7.53±0.98 |
| Isobutyric acid | 79-31-2 | 1570 | 88 | 11.49±3.14 | 17.78±4.31 | 11.42±1.12 | 17.52±2.43 | 42.86±1.66 | 21.70±3.62 |
| Others | |||||||||
| Styrene | 100-42-5 | 1261 | 104 | n.d. | n.d. | n.d. | 162.42±2.41 | 303.57±16.54 | 321.14±18.16 |
| 2,3-Dihydrofuran | 1191-99-7 | - | 70 | 11.08±1.21 | n.d. | n.d. | 12.38±2.30 | 26.47±6.20 | 11.16±1.44 |
| 12-Crown-4 | 294-93-9 | - | 176 | n.d. | n.d. | n.d. | 103.34±17.03 | 33.37±2.26 | 21.69±1.94 |
| Dodecyl octaethylene glycol ether | 3055-98-9 | - | 538 | 497.12±26.96 | 439.28±44.62 | 241.99±23.12 | 609.81±61.44 | 572.30±43.08 | 432.97±18.86 |
| Hexamethylcyclotrisiloxane | 541-05-9 | - | 222 | 216.53±29.17 | 116.39±24.08 | 129.30±5.65 | 366.79±33.16 | 497.18±10.58 | 231.39±10.99 |
| Octadecane,3-ethyl-5-(2-ethylbutyl) | 55282-12-7 | - | 366 | 2.19±1.57 | n.d. | 1.33±0.28 | 12.87±2.08 | 53.12±5.23 | 15.97±1.77 |
| Samples | Bacteria | Fungal | ||||
|---|---|---|---|---|---|---|
| Effective sequences | High-quality sequences | Proportions (%) | Effective sequences | High-quality sequences | Proportions (%) | |
| L7a | 58786 | 51006 | 86.77 | 79408 | 77311 | 97.36 |
| L7b | 55060 | 48152 | 87.45 | 79349 | 76322 | 96.19 |
| L7c | 53262 | 44432 | 83.42 | 64427 | 61232 | 95.04 |
| M7a | 59931 | 52944 | 88.34 | 79834 | 77046 | 96.51 |
| M7b | 47009 | 37853 | 80.52 | 79900 | 77360 | 96.82 |
| M7c | 49382 | 39638 | 80.27 | 79670 | 76885 | 96.50 |
| H7a | 60083 | 48920 | 81.42 | 79347 | 76045 | 95.84 |
| H7b | 45747 | 37236 | 81.40 | 79642 | 77067 | 96.77 |
| H7c | 75497 | 66553 | 88.15 | 79429 | 77070 | 97.03 |
| L35a | 59664 | 53408 | 89.51 | 79848 | 77580 | 97.16 |
| L35b | 59740 | 50317 | 84.23 | 79681 | 76918 | 96.53 |
| L35c | 53049 | 42808 | 80.70 | 79504 | 76834 | 96.64 |
| M35a | 56810 | 49493 | 87.12 | 79866 | 76747 | 96.09 |
| M35b | 76969 | 70391 | 91.45 | 79381 | 76878 | 96.85 |
| M35c | 76296 | 69324 | 90.86 | 79952 | 77843 | 97.36 |
| H35a | 60505 | 50971 | 84.24 | 79845 | 77852 | 97.50 |
| H35b | 63071 | 50920 | 80.73 | 79611 | 77127 | 96.88 |
| H35c | 68939 | 60942 | 88.40 | 79808 | 76747 | 96.16 |
Disclaimer/Publisher’s Note: The statements, opinions and data contained in all publications are solely those of the individual author(s) and contributor(s) and not of MDPI and/or the editor(s). MDPI and/or the editor(s) disclaim responsibility for any injury to people or property resulting from any ideas, methods, instructions or products referred to in the content. |
© 2024 by the authors. Licensee MDPI, Basel, Switzerland. This article is an open access article distributed under the terms and conditions of the Creative Commons Attribution (CC BY) license (https://creativecommons.org/licenses/by/4.0/).
