Submitted:
13 August 2024
Posted:
14 August 2024
You are already at the latest version
Abstract
Keywords:
1. Introduction
1.1. Motivation
1.2. Related Work
1.3. Our Contributions
1.4. Notation and Paper Organization
2. System Model and Problem Formulation
2.1. Channel Model
2.2. The Protocol Description
2.3. Problem Formulation
3. Problem Transformation
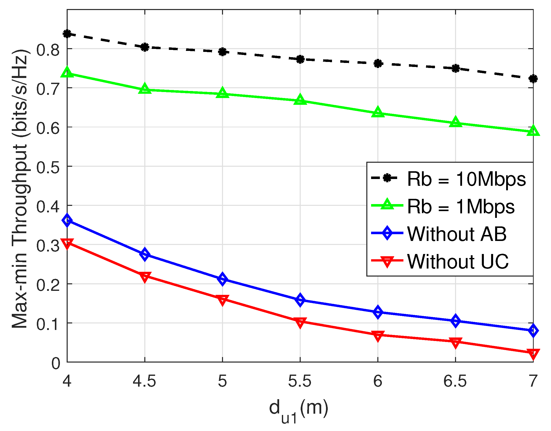
4. Simulation Results
5. Conclusions
Author Contributions
Funding
Acknowledgments
Conflicts of Interest
References
- M. Latva-Aho and K. Leppanen, “Key drivers and research challenges for 6G ubiquitous wireless intelligence,” Univ. Oulu, Oulu, Finland, White Paper 1, 2019. Available: http://urn.fi/urn:isbn:9789526223544.
- X. You et al., “Towards 6G wireless communication networks: Vision, enabling technologies, and new paradigm shifts,” Sci. China Inf. Sci., vol. 64, no. 1, pp. 1-74, 2021.
- R. Guo, Y. Tang, C. Zhang, et al., “Prospects and Challenges of THz Precoding,” Chinese Journal of Electronics, vol. 31, no. 3, pp. 488-498, 2022. [CrossRef]
- M. Alsabah et al., “6G Wireless Communications Networks: A Comprehensive Survey,” IEEE Access, vol. 9, pp. 148191-148243, 2021. [CrossRef]
- Y. Zeng, B. Clerckx and R. Zhang, “Communications and signals design for wireless power transmission,” IEEE Trans. Commun., vol. 65, no. 5, pp. 2264-2290, May 2017. [CrossRef]
- G. Yang, Q. Zhang and Y. C. Liang, “Cooperative ambient backscatter communication systems for future internet-of-things”, IEEE Internet Things J., vol. 5, no. 2, pp. 1116-1130, Jan. 2018.
- C. Yang, X. Wang and K. W. Chin, “On maxâmin throughput in backscatter-assisted wirelessly powered IoT”, IEEE Internet Things J., vol. 7, no. 1, pp. 137-147, Jan. 2020.
- S. Zhong and X. Wang, “Transmission scheduling for hybrid backscatter-HTT nodes”, IEEE Internet Things J., vol. 8, no. 3, pp. 1769-1782, Feb. 2021. [CrossRef]
- X. Di, K. Xiong, P. Fan, H.-C. Yang, and K. B. Letaief, “Optimal resource allocation in wireless powered communication networks with user cooperation,” IEEE Trans. Wireless Commun., vol. 16, no. 12, pp. 7936-7949, 2017. [CrossRef]
- Y. Zheng, S. Bi, Y. J. Zhang, Z. Quan, and H. Wang, “Intelligent reflecting surface enhanced user cooperation in wireless powered communication networks,” IEEE Wireless Commun. Lett., vol. 9, no. 6, pp. 901-905, 2020. [CrossRef]
- A. M. Ahmed, Z. Wang, H. T. Belay and X. Wan, “Energy-Efficient Optimization for WPCN System Based on User Cooperation,” in 2022 27th Asia Pacific Conference on Communications (APCC), Jeju Island, Korea, Republic of, pp. 329-333, 2022.
- X. Lu, D. Niyato, H. Jiang, D. I. Kim, Y. Xiao and Z. Han, “Ambient backscatter assisted wireless powered communications,” IEEE Wireless Commun., vol. 25, no. 2, pp. 170-177, Apr. 2018. [CrossRef]
- Y. Zhuang, X. Li, H. Ji, H. Zhang and V. C. M. Leung, “Optimal resource allocation for RF-powered underlay cognitive radio networks with ambient backscatter communication”, IEEE Trans. Veh. Technol., vol. 69, no. 12, pp. 15216-15228, Dec. 2020. [CrossRef]
- Y. Zhuang, X. Li, H. Ji, and H. Zhang, “Exploiting hybrid SWIPT in ambient backscatter communication-enabled relay networks: Optimize power allocation and time scheduling,” IEEE Internet Things J., vol. 9, no. 24, pp. 24655-24668, Dec. 2022. [CrossRef]
- Z. Liu, S. Zhao, Y. Yang, K. Ma, and X. Guan, “Toward hybrid backscatter-aided wireless-powered Internet of Things networks: Cooperation and coexistence scenarios,” IEEE Internet Things J., vol. 9, no. 8, pp. 6264-6276, Apr. 2022. [CrossRef]
- C. Yang, X. Wang, and K.-W. Chin, “On max-min throughput in backscatter-assisted wirelessly powered IoT,” IEEE Internet Things J., vol. 7, no. 1, pp. 137-147, Jan. 2020. [CrossRef]
- Yunkai Hu, Peng Wang, Zihuai Lin, Ming Ding, Ying-Chang Liang, “Performance Analysis of Ambient Backscatter Systems With LDPC-Coded Source Signals”, IEEE Trans. Veh. Technol., vol. 70, no. 8, pp. 7870-7884, Aug. 2021. [CrossRef]
- T. A. Khan, A. Alkhateeb, and R. W. Heath, “Millimeter wave energy harvesting,” IEEE Trans. Wireless Commun. Vol. 15, no. 9, pp. 6048-6062, Sep. 2016. [CrossRef]
- T. A. Khan and R. W. Heath, “Wireless power in millimeter wave tactical networks,” IEEE Signal Process. Lett., vol. 24, no. 9, pp. 1284-1287, Sep. 2017.
- T. X. Tran, W. Wang, S. Luo, and K. C. Teh, “Nonlinear energy harvesting for millimeter wave networks with large-scale antennas,” IEEE Trans. Vehi. Technol., vol. 67, no. 10, pp. 9488-9498, Oct. 2018. [CrossRef]
- C. Psomas and I. Krikidis, “Energy beamforming in wireless powered mmWave sensor networks,” IEEE J. Sel. Areas Commun., vol. 37, no. 2, pp. 424-438, Feb. 2019. 10.1109/jsac.2018.2872381.
- G. Kwon, H. Park, and M. Z. Win, “Joint beamforming and power splitting for wideband millimeter wave SWIPT systems,” IEEE J. Sel. Topics Signal Process., vol. 15, no. 5, pp. 1211-1227, Aug. 2021. [CrossRef]
- R. Guo, Y. Cai, M. Zhao, Q. Shi, B. Champagne and L. Hanzo, “Joint Design of Beam Selection and Precoding Matrices for mmWave MU-MIMO Systems Relying on Lens Antenna Arrays,” IEEE J. Sel. Topics Signal Process., vol. 12, no. 2, pp. 313-325, May 2018. [CrossRef]
- R. Guo, Y. Cai, Q. Shi, M. Zhao and B. Champagne, “Joint design of beam selection and precoding for mmWave MU-MIMO systems with lens antenna array,” in Proc. IEEE 28th Annu. Int. Symp. Pers., Indoor, Mobile Radio Commun. (PIMRC), Oct. 2017, pp. 1-5.
- S. Abeywickrama, C. You, R. Zhang and C. Yuen, “Channel Estimation for Intelligent Reflecting Surface Assisted Backscatter Communication,” IEEE Wireless Commun. Lett., vol. 10, no. 11, pp. 2519-2523, Nov. 2021. [CrossRef]
- CVX Research, Inc. CVX: Matlab software for disciplined convex programming, version 2.0 beta. [Online]. Available: http://cvxr.com/cvx.
- X. Gao, L. Dai, Z. Chen, Z. Wang, and Z. Zhang, “Near-optimal beam selection for beamspace mmWave massive MIMO systems,” IEEE Commun. Lett., vol. 20, no. 5, pp. 1054-1057, May 2016. [CrossRef]
Short Biography of Authors
|
| Rongbin Guo received the B.S. degree in Communication Engineering from Southwest Jiaotong University, Chengdu, China, in 2013, and the Ph.D degree in communication and information systems from Zhejiang University, Hangzhou, China, in 2018. From January 2019 to March 2022, he was an assistant professor with Research Center for Intelligent Network, Zhejiang Lab, Hangzhou, China. He currently holds a post-doctoral position at the School of Information and Electrical Engineering, Zhejiang University City College, Hangzhou, China and the College of Computer Science and Technology, Zhejiang University, Hangzhou, China. His research interests include B5G/6G communication systems, algorithm design for MIMO communication systems, and signal processing for wireless communications. |
![]() |
| Rui Yin (M’13-S’19) received the B.E. degree in Computer Engineering from Yanbian University in 2001, China, the M.S. degree in Computer Engineering from KwaZulu-Natal University in Durban, South Africa in 2006, and the Ph.D. degree in Information and Electronic Engineering from Zhejiang University in 2011, respectively. From March 2011 to June 2013, he was a research fellow at the Department of Information and Electronic Engineering, Zhejiang University, China. He is now a professor in the School of Information and Electrical Engineering at Zhejiang University City College, China, and a joint honorary research fellow in the School of Electrical, Electronic and Computer Engineering at University of Kwa-Zulu Natal, South Africa. His research interests mainly focus on radio resource management in LTE unlicensed, millimeter wave cellular wireless networks, HetNet, cooperative communications, massive MIMO, optimization theory, game theory, and information theory. Prof. Yin regularly serves as the technical program committee (TPC) boards of prominent IEEE conferences such as ICC, GLOBECOM and PIMRC and chairs some of their technical sessions and reviwer for IEEE TWC, IEEE TVT, IEEE Tcom, IEEE Wireless Communications, IEEE Communications Magazine, IEEE Network, and IEEE TSP journals |
![]() |
| Guan Wang received his PhD in Computer Science and Technology from Zhejiang University in 2022. He is currently working as an assistant researcher at the School of Information and Electrical Engineering, Hangzhou City University, China. His research interests include engineering design, multi-objective optimization and uncertainty handling. |
![]() |
| Congyuan Xu received the Ph.D. degree in Electronics Science and Technology from Zhejiang University, Hangzhou, China in 2019, and the B.S. degree in Applied Physics from Xidian University, Xi’an, China, in 2013. Currently, he is a lecturer in the College of Information Science and Engineering, Jiaxing University, Jiaxing, China. His research interests focus on machine intelligence and cyberspace security. |
![]() |
| Jiantao Yuan received the B.E. degree in electronic and information engineering from Dalian University, Dalian, China, in 2009, the M.S. degree in signal and information processing from The First Research Institute of Telecommunications Technology, Shanghai, China, in 2012, and the Ph.D. degree from the College of Information Science and Electrical Engineer, Zhejiang University, Hangzhou, China. He was with Datang mobile communication equipment co. LTD, Shanghai, China, from 2012 to 2013, where he was involved in LTE network planning and optimization. He used to work as a post-doctoral fellow at the Institute of Ocean Sensing and Networking of the Ocean College of Zhejiang University, Hangzhou, China, from 2019 to 2021. He is now working at School of Information and Electrical Engineering, Zhejiang University City College, Hangzhou, China. His research interests include cross-layer protocol design, 5G new-radio based access to unlicensed spectrum (NR-U), and ultra-reliable low latency communications (uRLLC). |
| 1 | For simplicity, we assume that the elevation AoD is zero. This is practically valid if the separation distance between users and the HAP is much larger than their height difference. |





Disclaimer/Publisher’s Note: The statements, opinions and data contained in all publications are solely those of the individual author(s) and contributor(s) and not of MDPI and/or the editor(s). MDPI and/or the editor(s) disclaim responsibility for any injury to people or property resulting from any ideas, methods, instructions or products referred to in the content. |
© 2024 by the authors. Licensee MDPI, Basel, Switzerland. This article is an open access article distributed under the terms and conditions of the Creative Commons Attribution (CC BY) license (http://creativecommons.org/licenses/by/4.0/).




