Submitted:
28 August 2024
Posted:
29 August 2024
You are already at the latest version
Abstract
Keywords:
1. Introduction
2. Materials and Methods
2.1. Description of the Study Area
2.1.1. Olive Groves with Ecological Farming

2.1.2. Olive Grove with Conventional Farming.
2.2. Sampling on the Vegetation Cover (VC1; VC2)
2.3. Sampling in Olive Tree Canopy (VC1; VC2; CONV)
2.4. Statistical Analysis
3. Results
3.1. Study of Herbaceus Cover (ECO-VC1 & ECO-VC2)
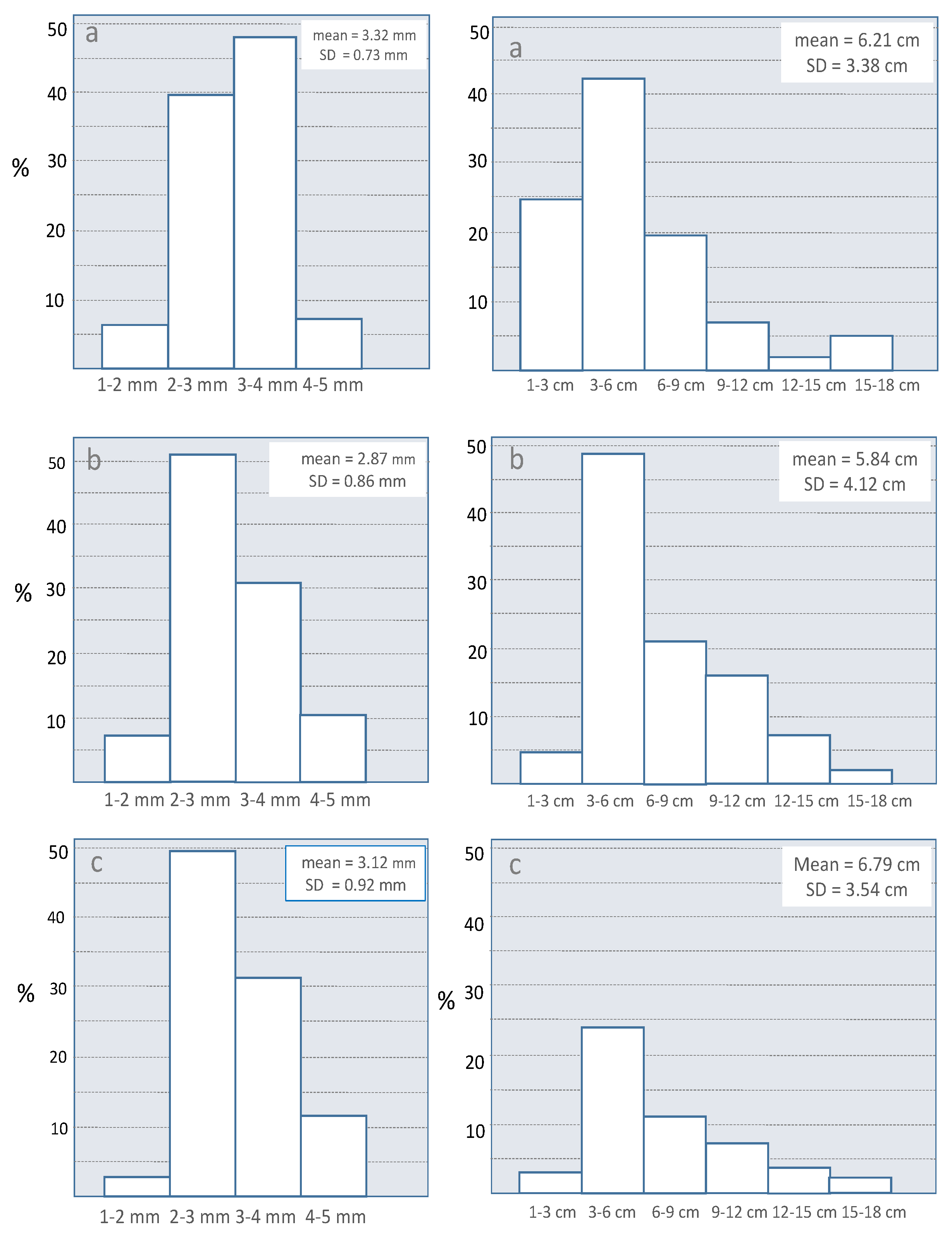
3.2. Description of Oviposition Injuries by Cicadas
3.3. Influence of the Olive Farming System on the Density of Oviposition Injuries


3.4. Determination of an Extensive Sampling for Cataloging Olive Groves Based on Injuries Density

| N | Lower | Middle | Upper | N | Lower | Middle | Upper |
| 1 | - | - | - | 21 | 7,86 | 7,33 | 7,33 |
| 2 | 28,00 | 33,33 | 33,33 | 22 | 7,64 | 8,16 | 8,16 |
| 3 | 27,50 | 25,00 | 20,00 | 23 | 7,52 | 8,03 | 8,44 |
| 4 | 20,00 | 20,00 | 19,25 | 24 | 7,37 | 7,90 | 8,28 |
| 5 | 16,67 | 16,67 | 17,50 | 25 | 7,21 | 7,77 | 8,12 |
| 6 | 14,29 | 14,29 | 15,81 | 26 | 7,06 | 7,51 | 7,97 |
| 7 | 12,50 | 12,50 | 14,14 | 27 | 6,91 | 7,40 | 7,82 |
| 8 | 13,09 | 13,09 | 12,60 | 28 | 6,80 | 7,59 | 7,59 |
| 9 | 12,03 | 12,50 | 11,29 | 29 | 6,67 | 7,36 | 7,36 |
| 10 | 11,11 | 11,75 | 11,11 | 30 | 6,55 | 7,15 | 7,15 |
| 11 | 10,32 | 11,07 | 10,83 | 31 | 6,45 | 7,05 | 6,94 |
| 12 | 10,44 | 10,66 | 10,05 | 32 | 6,34 | 6,95 | 6,75 |
| 13 | 9,88 | 10,14 | 9,35 | 33 | 6,23 | 6,77 | 6,56 |
| 14 | 9,37 | 9,61 | 8,73 | 34 | 6,13 | 6,69 | 6,50 |
| 15 | 8,91 | 9,09 | 8,18 | 35 | 6,03 | 6,52 | 6,33 |
| 16 | 8,94 | 8,61 | 8,20 | 36 | 5,96 | 6,45 | 6,17 |
| 17 | 8,58 | 8,49 | 8,16 | 37 | 5,87 | 6,30 | 6,01 |
| 18 | 8,25 | 8,08 | 7,75 | 38 | 5,78 | 6,23 | 5,86 |
| 19 | 8,22 | 7,71 | 7,37 | 39 | 5,69 | 6,10 | 5,72 |
| 20 | 8,09 | 7,36 | 7,36 | 40 | 5,64 | 6,21 | 5,58 |
4. Discussion
- Conventional chemical control, using products with a notable knockdown effect on adults during the reproductive period [67]. Obviously this would not be a viable solution in organic crops, so for these, applications of kaolin-based formulation along with diatomaceous earth and essential oil have demonstrated an acceptable control of oviposition injuries [68].
- Complementary cultural methods, based on the suppression during the summer of plant specimens that develop in the peripheral area of olive trees, close to irrigation drippers, which would have a very negative impact on the survival rate of nymphs.
Author Contributions
Funding
Institutional Review Board Statement
Informed Consent Statement
Acknowledgments
Conflicts of Interest
References
- Karban R. Addition of periodical cicada nymphs to an oak forest: effects on cicada density, acorn production, and rootlet density. Journal of Kansas Entom. Soc. 1985, 58, pp. 269–276.
- Logan, D.; Connolly, P. Cicadas from kiwifruit orchards in New Zealand and identification of their final instar exuviae (Cicadidae: Homoptera). New Zealand Entomologist, 2005, 28(1), pp. 37-48. [CrossRef]
- Spooner-Hart, R.; Tesoriero, L.; Hall, B. H. (2007). Field guide to olive pests, diseases and disorders in Australia. Brisbane, Queensland, Australia: Rural industries Research and Development Corporation.
- Moulds, M. S. Cicadas. In Encyclopedia of insects, 2009 (pp. 163-164). Academic Press.
- Boulard, M. Les cigales du Portugal, contribution à leur étude [Hom. Cicadidae]. In Annales de la Société entomologique de France (NS), 1982, 18(2), pp. 181-198. Taylor & Francis.
- Quartau, J. A. A numerical taxonomic analysis of interspecific morphological differences in two closely related species of Cicada (Homoptera, Cicadidae) in Portugal. Great Basin Nat. Mem. 1988, 12, pp.171–181.
- Ribeiro, M. Diferenciação em duas espécies gémeas do género Cicada L. (Insecta, Homoptera, Cicadoidea): Cicada orni L. e Cicada barbara (Stål) (Thesis). Faculty of Sciences, University of Lisbon, 1998.
- Seabra, S. G.; Pinto-Juma, G.: Quartau, J. A. Calling songs of sympatric and allopatric populations of Cicada barbara and C. orni (Hemiptera: Cicadidae) on the Iberian Peninsula. European Journal of Entomology 2006, 103(4), 843. [CrossRef]
- Louça, J.; Symons, J.; Rodrigues, D.; Morais, A. Pattern-oriented analysis of communication flow: The case study of Cicada barbara lusitanica. In 21st European Conference on Modelling and Simulation-ECMS 2007, pp. 229-234.
- Sueur, J.; Puissant, S.; Simoes, P. C.; Seabra, S.; Boulard, M.; Quartau, J. A. Cicadas from Portugal: revised 1004 list of species with eco-ethological data (Hemiptera : Cicadidae). Insect Syst Evol. 2004, 35: 177-187. [CrossRef]
- Popov A.V. The structure of the tymbals and the characteristics of the sound signals in singing cicadas (Homoptera, Cicadidae) in the southern regions of the USSR. Entomol. Rev. 1975, 54(2), pp. 7–35.
- Quartau, J. A.; Fonseca, P. J. An annotated check-list of the species of cicadas known to occur in Portugal (Homoptera: Cicadoidea). In Vidano C.; Arzone A. (eds): Proceedings of the 6th Auchenorrhyncha Meeting, Turin, Italy, September 7–11, 1988. Consiglio Nazionale delle Ricerche, Turin, pp. 367–375.
- Pinto-Juma, G. A.; Quartau, J. A.; Bruford, M. W. Population structure of Cicada barbara Stål (Hemiptera, Cicadoidea) from the Iberian Peninsula and Morocco based on mitochondrial DNA analysis. Bulletin of Entomological Research 2008, 98(1), pp. 15-25. [CrossRef]
- Quartau, J.A. Cigarras-esses insectos quase desconhecidos. Correio Natur. 1995, 19, pp. 33–38.
- Sueur J.; Aubin, T. Is microhabitat segregation between two cicada species (Tibicina haematodes and Cicada orni) due to calling song propagation constraints? Naturwissenschaften 2003, 90. pp. 322-326. [CrossRef]
- Patterson, I. J.; Massei, G.; Genov., P. The density of cicadas Cicada orni in Mediterranean coastal habitats. Italian Journal of Zoology 1997, 64(2), pp. 141-146. [CrossRef]
- Silvestri, F. "Entomologia applicata." Parte especiale, I. Portici (1939).
- Jardak, T.; Ksantini, M. La estructuración de la protección fitosanitaria del olivo en Túnez: Elementos básicos y necesidades económicas y ecológicas. Olivae: revista oficial del Consejo Oleícola Internacional, 1996 (61), pp. 24-33.
- Ruiz Castro, A. The Insect Fauna of Olive in Spain. A Study of the Classification and Biology of the Species of greatest economic Importance, 1951. 166-pp.
- Arambourg, Y. Traité d'entomologie oléicole. COI, 1986.
- Lay, J. M. B., Fraga, D. E., Font, R. C., Ferran, P. P., Rodríguez, M. F., Fontelles, F., ... & Quintana, M. F. Diversitat, distribució i fenologia de les cigales (Hemiptera: Cicadidae) a Catalunya (NE Península Iberica). Butlletí de la Institució Catalana d'Història Natural, 2021, pp. 59-72.
- González, M. I.; Alvarado, M.; Duran, J. M.; Serrano, A.; De la Rosa, A. Estudios sobre Cicada sp.(Homoptera: Cicadidae) en olivo. Boletín de Sanidad Vegetal Plagas, 1998, 24, pp. 803-432.
- Ruiz Torres, M. Análisis del estado de las plagas del olivar andaluz en 2008 y Reflexiones sobre algunas dificultades de Control. Incidencia de las principales plagas del olivar. Vida Rural 2008, pp. 44-48.
- Cornara, D.; Marra, M.; Tedone, B.; Cavalieri, V.; Porcelli, F.; Fereres, A., ... & Saponari, M. No evidence for cicadas’ implication in Xylella fastidiosa epidemiology. Entomologia Generalis 2020, 40(2), pp. 125-132. [CrossRef]
- White E., G.; Sedcole J., R. A study of the abundance and patchiness of cicada nymphs (Homoptera: Tibicinidae) in a New Zealand subalpine shrub-grassland. N Z J Zool 1993, 20, pp. 38–51. [CrossRef]
- Yang, L. H. Periodical cicadas as resource pulses in North American forests. Science 2004, 306(5701), pp. 1565-1567. [CrossRef]
- Raupp, M. J. Egg-laying and the dark side of cicadas, Magicicada spp. 2021. Web Editor: Chris Sargent; Web Designer: Kris Keochinda. https://bugoftheweek.com/blog/2021/6/14/egg-laying-and-the-dark-side-of-cicadas-cicadas-magicicada-spp (accessed on 11 08 2024).
- Casado, G. G.; Pulido, L. F. Manejo de la Cubierta Vegetal en el Olivar Ecológico en Andalucía: Siembra de Leguminosas Entre Calles; Dirección General de Agricultura Ecológica; Consejería de Agricultura y Pesca: Junta de Andalucía, Spain, 2007; 78 pp.
- Gómez J. A.; Sobrinho T. A., Giráldez, J.V.; Fereres E. Soil management effects on runoff, erosion and soil properties in an olive grove of Southern Spain. Soil Till Res. 2009, 102 (1), pp. 5-13. [CrossRef]
- Rodríguez-Entrena M, Arriaza M. Adoption of conservation agriculture in olive groves: Evidences from southern Spain. Land Use Policy 2013, 34: 294-300. [CrossRef]
- González-Ruiz, R., Gómez-Guzmán, J. A., Martínez-Rojas, M., García-Fuentes, A., Cordovilla, M. D. P., Sainz-Pérez, M.: Rodríguez-Lizana, A. The influence of mixed green covers, a new trend in organic olive growing, on the efficiency of predatory insects. Agriculture 2023, 13(4), 785. [CrossRef]
- García-Martín, J. F.; Cuevas, M.; Feng, C. H.; Álvarez-Mateos, P.; Torres, M.; Sánchez, S. Energetic valorisation of olive biomass: Olive-tree pruning, olive stones and pomaces. Processes 2020, 8, 511. [CrossRef]. [CrossRef]
- Azam, F. Comparative effects of organic and inorganic nitrogen sources applied to a flooded soil on rice yield and availability of N. Plant Soil 1990, 125, pp. 255–262. [CrossRef]. [CrossRef]
- Singh, H. Nitrogen mineralization, microbial biomass and crop yield affected by the placement of wheat residues and fertilizers in a semi-arid tropical soil with minimum tillage. J. Appl. Ecol. 1995, 32, pp. 588–595. [CrossRef]. [CrossRef]
- Rodríguez-Lizana, A.; Pereira, M. J.; Ribeiro, M. C.; Soares, A.; Márquez-García, F.; Ramos, A.; Gil-Ribes, J. Assessing Local Uncertainty of Soil Protection in an Olive Grove Area with Pruning Residues Cover: A Geostatistical Cosimulation Approach. Land Degrad. Dev. 2017, 28, pp. 2086–2097. [CrossRef]. [CrossRef]
- García-Fuentes, A.; Lendínez, M. L.; Salazar, C. Pérdida de diversidad vegetal en los olivares del Alto Valle del Guadalquivir: Alternativas agroecológicas. In La Cultura del Olivo, Ecología, Economía, Sociedad; Anta, J.L., Palacios, J., Guerrero, F. Eds.; Universidad de Jaén (Spain), 2005; pp. 300–430. ISBN 84-8439-250-3. 1.
- Calatrava, J.; Franco, J. A. Using pruning residues as mulch: Analysis of its adoption and process of diffusion in southern Spain olive orchards. J. Environ. Manag. 2011, 92, pp. 620–629. [CrossRef]. [CrossRef]
- Repullo, M.A.; Carbonell, R.; Hidalgo, J.; Rodríguez-Lizana, A.; Ordóñez, R. Using olive pruning residues to cover soil and improve fertility. Soil Tillage Res. 2012, 124, pp. 36–46. [CrossRef]. [CrossRef]
- Taguas, E.V.; Gómez, J. A. Vulnerabilidad de los olivares bajo la actual normativa de la PAC (Política Agraria Común) sobre la erosión del suelo: Un caso de estudio en el Sur de España. Política De Uso De La Tierra 2015, 42, pp. 683–694.
- Medina, J.; Monreal, C.; Barea, J. M.; Arriaga, C.; Borie, F.; Cornejo, P. Estabilización de residuos de cultivos y aplicación a suelos agrícolas y degradados: Una revisión. Gestión De Residuos 2015, 42, pp. 41–54.
- Cheung, W. K.; Marshall, A. T. Water and ion regulation in cicadas in relation to xylem feeding. Journal of Insect Physiology 1973, 19(9), pp. 1801-1816. [CrossRef]
- White, J.; Strehl, C. E. Xylem feeding by periodical cicada nymphs on tree roots. Ecological Entomology 1978, 3(4), pp. 323-327. [CrossRef]
- Carpio, A.J.; Solana, M; Tortosa, F.S.; Castro, J. Effect of cover crops in olive groves on Cicadomorpha communities.Spanish Journal of Agricultural Research, 2020, 18(2) . [CrossRef]
- Redak, R. A.; Purcell, A. H.; Lopes, J. R.; Blua, M. J.; Mizell Iii, R. F.; Andersen, P. C. The biology of xylem fluid feeding insect vectors of Xylella fastidiosa and their relation to disease epidemiology. Annual Rev.in Entomology, 2004, 49(1), pp. 243-270. [CrossRef]
- lanca, G; Cabezudo, B.; Cueto, M.; Salazar, C.; Morales Torres, C. Flora vascular de Andalucía oriental 2009, (4). G. Blanca (Ed.). Andalucia, Spain: Junta de Andalucia. Consejeria de Medio Ambiente.
- Raunkiaer, C. The life-forms of plants and their bearing on geography. The life forms of plants and statistical plant geography, 1934, pp. 2-104.
- González-Ruiz, R. Estudio bioecológico de Phloeotribus scarabaeoides Bernard (Coleoptera: Scolytidae) en la provincia de Granada. Ph D Degree-University of Granada (Spain), January 1989. 425 pp.
- González-Ruiz, R.; Campos, M. A preliminary study of the effect of attacks by Phloeotribus scarabaeoides (Bern.)(Coleoptera: Scolytidae) on the productivity of the olive tree (Olea europaea L.). Mitteilungen der Schweizerischen Entomologischen Gesellschaft 1994, 67: pp. 67-75.
- 49. Orians, C. M.; Jones, C.G. Plants as resource mosaics: a functional model for predicting patterns of within-plant resource heterogeneity to consumers based on vascular architecture and local environmental variability. Oikos 2001, 94, pp. 493–504. [CrossRef]
- Potter, K.; Davidowitz, G.; Woods, H. A. Insect eggs protected from high temperatures by limited homeothermy of plant leaves. Journal of Experimental Biology 2009, 212(21), pp. 3448-3454. [CrossRef]
- Pincebourde, S.; Sinoquet, H.; Combes, D.; Casas, J. Regional climate modulates the canopy mosaic of favourable and risky microclimates for insects. Journal of Animal Ecology 2007, 76(3), pp. 424-438. [CrossRef]
- Moriyama, M.; Yasuyama, K.; Numata, H. The formation of a hatching line in the serosal cuticle confers multifaceted adaptive functions on the eggshell of a cicada. Zoological Letters 2021, 7(1), 8. [CrossRef]
- Lloyd, M.; Dybas, H. S. The periodical cicada problem. Evolution 1966, pp. 466-505.
- Novotny, V.; Wilson, M. R. Why are there no small species among xylem-sucking insects? Evolutionary ecology 1997, 11, 419-437. [CrossRef]
- Karban, R. Prolonged development in cicadas. In The evolution of insect life cycles 1986, pp. 222-235. NY: Springer US.
- Karban, R. Why cicadas (Hemiptera: Cicadidae) develop so slowly. Biol. J. of the Lin. Soc. 2022, 135(2), pp. 291-298. [CrossRef]
- Callaham Jr, M. A.; Whiles, M. R.; Meyer, C. K.; Brock, B. L.; Charlton, R. E. Feeding ecology and emergence production of annual cicadas (Homoptera: Cicadidae) in tallgrass prairie. Oecologia 2000, 123, pp. 535-542. [CrossRef]
- Ito, Y.; Nagamine, M. 1981. Why a cicada, Mogannia minuta Matsumura, became a pest of sugarcane: an hypothesis based on the theory of escape. Ecological Entomology 1981, 6, pp. 273–283.
- Bozsik, A.; González-Ruiz, R. First data on the sibling species of the common green lacewings in Spain (Neuroptera: Chrysopidae):(The taxonomic status of the most important cryptic species of Chrysoperla carnea complex in Spain). In: Anonymous 4th International Plant Protection Symposium at Debrecen University and 11th Trans-Tisza Plant Protection Forum, 18-19 October, 2006, Debrecen, Hungary Debreceni Egyetem, Agrártudományi Centrum, Mezögazdaságtudományi Kar, pp. 3-11.
- González-Ruiz, R., Al-Asaad, S.; Bozsik A (2008) Influencia de las masas forestales en la diversidad y abundancia de los crisópidos (Neur.:" Chrysopidae") del olivar. Cuadernos de la Sociedad Española de Ciencias Forestales(26), pp. 33-38.
- Pappas ML, Broufas GD, Koveos DS (2007) Effects of various prey species on development, survival and reproduction of the predatory lacewing Dichochrysa prasina (Neu.: Chrysopidae). Biol. Control 2007 43(2), pp. 163-170. [CrossRef]
- Manojlovic B, Zabel A, Stankovic S et al (2001) Additional diet of the parasitoids (Hymenoptera: Braconidae) and the parasitizing of the Elm Bark Beetle (Coleoptera: Scolytidae). Anzeiger für Schädlingskunde= Journal of pest science 74(3), pp. 66-71. [CrossRef]
- Bozsik A. Nahrungsanalytische untersuchungen an einigen mitteleuropäischen chrysopiden-imagines (Neuroptera: Chrysopidae). Beiträge zur Entomologie= Contributions to Entomology 2000, 50(1), pp. 237-246. [CrossRef]
- Canard, M. Natural food and feeding habits of lacewings, in: Whittington, A. E; McEwen, P. K., New, T.R. (Eds.), Lacewings in the Crop Environment. Cambridge University Press, Cambridge, U.K. 2007; Volume 3, pp. 154–196., pp. 116–129.
- Tóth, M.; Bozsik, A.; Szentkirályi, F.; et al. Phenylacetaldehyde: a chemical attractant for common green lacewings (Chrysoperla carnea sl, Neuroptera: Chrysopidae). Eur J Entomol 2006, 103 (1), 267 pp. [CrossRef]
- Baur, R.; Wijnands, F.; Malavolta, C. Integrated Production – Objectives, Principles and Technical Guidelines. IOBC/WPRS Bulletin, Special Issue. 2011. Baur, R., Wijnands, F., & Malavolta, C. (Eds.). Integrated production: Objectives, Principles and Technical Guidelines. INRA, Unité de pathologie végétale.
- Hogmire, H.; W., Baugher, T. A.; Crim, V. L.: Walter, S. I. Effects and control of periodical cicada (Homoptera: Cicadidae) oviposition injury on nonbearing apple trees. Journal of economic entomology,1990, 83 (6), pp. 2401-2404. [CrossRef]
- Valizadeh, H., Abbasipour, H., & Farazmand, H. Evaluation of Kaolin Application on Oviposition Control of the Vine Cicada, Psalmocharias alhageos in Vineyards. Entomol Geneer. 2012, 34(4), pp. 279-286. [CrossRef]
- Frank, D. L. (2020). Evaluation of organically acceptable methods to control periodical cicada (Hemiptera: Cicadidae) oviposition injury on nonbearing apple trees. Journal of Entomological Science 2020, 55(2), pp. 210-218. [CrossRef]



| (biotype)1 | months | ||||||||||||||||
| Sp | [life form]2 | N | %VC1 | %VC2 | p | I | II | III | IV | V | VI | VII | VIII | IX | X | XI | XII |
| Filago | (Th.) [e.] | 606 | 15,2 | 84,8 | <0.001 | ||||||||||||
| pyramidata L. | |||||||||||||||||
| Malva | (H./Th.) [fasc.] | 410 | 65,8 | 34,2 | <0.05 | ||||||||||||
| parviflora L. | |||||||||||||||||
| Bromus | (Th.) [caesp.] | 300 | 75,3 | 24,7 | >0.05 | ||||||||||||
| rubens L. | |||||||||||||||||
| Astragalus | (Th.) [e. fasc.] | 149 | 95,3 | 4,7 | <0.01 | ||||||||||||
| hamosus L. | |||||||||||||||||
| Trisetaria | (Th.) [caesp.] | 104 | 50 | 50 | >0.05 | ||||||||||||
| panicea (Lam.) | |||||||||||||||||
| Filago | (Th.) [e.] | 103 | 89,3 | 10,7 | <0.001 | ||||||||||||
| fuscescens Pomel | |||||||||||||||||
| Herniaria | (Th.) [creep.] | 91 | 80,2 | 19,8 | >0.05 | ||||||||||||
| cinerea D. C. | |||||||||||||||||
| Crucianella | (Th.) [e.] | 47 | 0 | 100 | >0.05 | ||||||||||||
| patula L. | |||||||||||||||||
| Diplotaxis | (Th.) [e.] | 35 | 0 | 100 | <0.01 | ||||||||||||
| virgata (Cav.) DC. | |||||||||||||||||
| Hordeum murinum | (Th.) [e.] | 34 | 85,3 | 14,7 | >0.05 | ||||||||||||
| leporinum Arcang. | |||||||||||||||||
| Trigonella | (Th.) [e.] | 26 | 23,1 | 76,9 | <0.01 | ||||||||||||
| monspeliaca L. | |||||||||||||||||
| Phalaris | (Th.) [caesp.] | 23 | 47,8 | 52,2 | >0.05 | ||||||||||||
| minor Retz. | |||||||||||||||||
| Heliotropium | (H.) [ros.] | 23 | 55,4 | 44,6 | >0.05 | ||||||||||||
| europaeum L. | |||||||||||||||||
| Plantago | (H./Th.) [ros.] | 22 | 100 | 0 | >0.05 | ||||||||||||
| lagopus L. | |||||||||||||||||
| Erodium | (Th.) [creep.] | 20 | 0 | 100 | >0.05 | ||||||||||||
| malacoides (L.) L'Hér. | |||||||||||||||||
| Ononis | (Th.) [e.] | 19 | 15,0 | 85,0 | >0.05 | ||||||||||||
| biflora Desf. | |||||||||||||||||
| Melilotus | (Th.) [e.] | 11 | 18,2 | 81,8 | >0.05 | ||||||||||||
| elegans Salzm. ex Ser. | |||||||||||||||||
| Leontodon longirostris | (H.) [ros.] | 10 | 0 | 100 | >0.05 | ||||||||||||
| (F. & P. D. Sell) Talav. | |||||||||||||||||
| Stellaria | (Th.) [e.] | 1 | 100 | 0 | >0.05 | ||||||||||||
| pallida (Dumort.) Piré | |||||||||||||||||
| Anagallis | (Th.) [e.] | 1 | 100 | 0 | >0.05 | ||||||||||||
| foemina Mill. | |||||||||||||||||
Disclaimer/Publisher’s Note: The statements, opinions and data contained in all publications are solely those of the individual author(s) and contributor(s) and not of MDPI and/or the editor(s). MDPI and/or the editor(s) disclaim responsibility for any injury to people or property resulting from any ideas, methods, instructions or products referred to in the content. |
© 2024 by the authors. Licensee MDPI, Basel, Switzerland. This article is an open access article distributed under the terms and conditions of the Creative Commons Attribution (CC BY) license (http://creativecommons.org/licenses/by/4.0/).
