Submitted:
20 September 2024
Posted:
23 September 2024
You are already at the latest version
Abstract

Keywords:
1. Introduction
2. Materials and Methods
2.1. Study Area
2.2. Observed Series and Re-Analysis
2.3. Global Climate Models
2.4. Research Indicators
2.5. Machine Learning Techniques
2.5.1. Random Forest (SD-ML-4)
2.5.2. Support Vector Machines (SD-ML-5)
2.6. Variance Decomposition
2.7. Significance of the Signal
3. Results
3.1. Relative Errors
3.1.1. The Highlands
3.1.2. The Andean Slopes
3.1.3. The Amazon Lowlands
3.1.4. The Chaco Lowlands
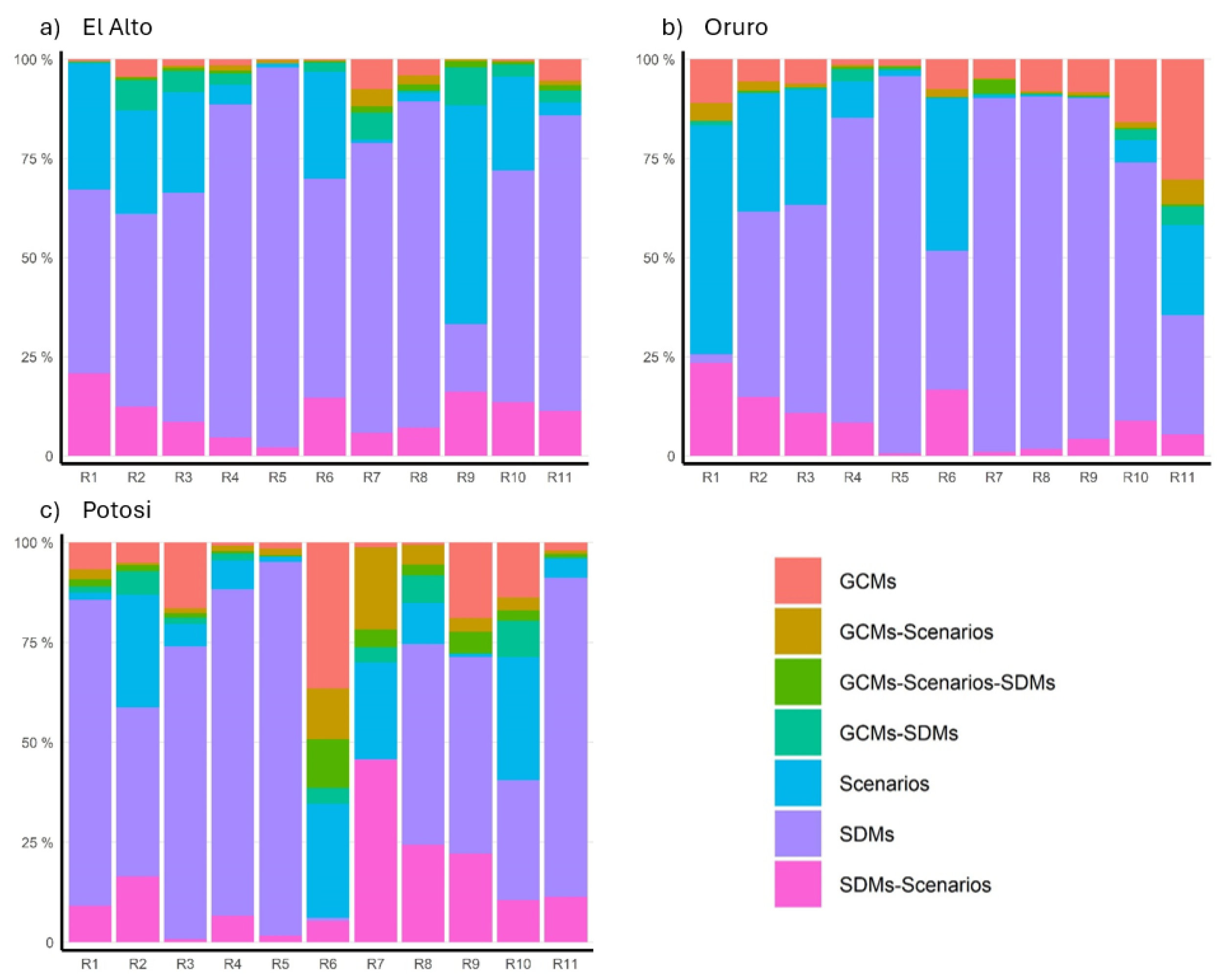
3.2. Uncertainty Contribution from the SDMs
3.3. Projections
4. Discussion
4.1. Skill and Uncertainty
4.1.1. Highlands
4.1.2. Andean Slopes
4.1.3. Amazon Lowlands
4.1.4. Chaco Lowlands
4.2. Assumptions of the SDMs
4.3. Expected Projections for the Region
5. Conclusions
Supplementary Materials
Author Contributions
Funding
Data Availability Statement
Acknowledgments
Conflicts of Interest
Abbreviations
| CCS | Climate Change Signal |
| CMIP6 | Coupled Model Intercomparison Project Phase 6 |
| ECMWF | European Centre for Medium-Range Weather Forecasts |
| ESD | Empirical Statistical Downscaling |
| ETCCDI | Expert Team on Climate Change Detection and Indices |
| GCM | Global Climate Model |
| MLT | Machine Learning Technique |
| MSL | Meters above Sea Level |
| NSWT | Nonhomogeneous Stochastic Weather Typing |
| RF | Random Forest |
| SDM | Statistical Downscaling Method |
| SENAMHI | Servicio Nacional de Hidrometeorología |
| S2NR | Signal To Noise Ratio |
| SVM | Support Vector Machines |
References
- Smithers, J.; Smit, B. Human adaptation to climatic variability and change. Global Environmental Change 1997, 7, 129–146. [Google Scholar] [CrossRef]
- Phillips, S.; Wallis, K.; Lane, A. Quantifying the impacts of bushfire on populations of wild koalas ( Phascolarctos cinereus ): Insights from the 2019/20 fire season. Ecological Management and Restoration 2021, 22, 80–88. [Google Scholar] [CrossRef]
- BBC, N. Brazil floods: Dozens dead in severe Minas Gerais rainstorms 2020. [Online; accessed 2023-06-01].
- Gonzales-Iwanciw, J.; Salamanca, L.; Condori, B.; Ontiveros, M. Tras las huellas del cambio climático en Bolivia. Estado del arte del conocimiento sobre adaptación al cambio climático. Technical report, Bolivia, 2011.
- Bank, W. Adaptation to climate change - Vulnerability assessment and economic aspects: Plurinational State of Bolivia. Technical report, Washington, DC, 2010.
- Cardona, O.; Carreño, M. Updating the Indicators of Disaster Risk and Risk Management for the Americas. Journal of Integrated Disaster Risk Management 2011, 1, 27–47. [Google Scholar] [CrossRef]
- Knutti, R.; Sedláček, J. Robustness and uncertainties in the new CMIP5 climate model projections. Nature Climate Change 2013, 3, 369–373. [Google Scholar] [CrossRef]
- Vrac, M.; Stein, M.L.; Hayhoe, K.; Liang, X.Z. A general method for validating statistical downscaling methods under future climate change. Geophysical Research Letters 2007, 34. [Online; accessed 2020-02-14]. [Google Scholar] [CrossRef]
- Benestad, R.; Sillmann, J.; Thorarinsdottir, T.L.; Guttorp, P.; Mesquita, M.d.S.; Tye, M.R.; Uotila, P.; Maule, C.F.; Thejll, P.; Drews, M.; Parding, K.M. New vigour involving statisticians to overcome ensemble fatigue. Nature Climate Change 2017, 7, 697–703. [Google Scholar] [CrossRef]
- Maraun, D.; Wetterhall, F.; Ireson, A.M.; Chandler, R.E.; Kendon, E.J.; Widmann, M.; Brienen, S.; Rust, H.W.; Sauter, T.; Themeßl, M.; Venema, V.K.C.; Chun, K.P.; Goodess, C.M.; Jones, R.G.; Onof, C.; Vrac, M.; Thiele-Eich, I. Precipitation downscaling under climate change: Recent developments to bridge the gap between dynamical models and the end user. Reviews of Geophysics 2010, 48. [Online; accessed 2019-01-10]. [Google Scholar] [CrossRef]
- Chadwick, R.; Coppola, E.; Giorgi, F. An artificial neural network technique for downscaling GCM outputs to RCM spatial scale. Nonlinear Processes in Geophysics 2011, 18, 1013–1028. [Google Scholar] [CrossRef]
- Das, J.; Nanduri, U.V. Assessment and evaluation of potential climate change impact on monsoon flows using machine learning technique over Wainganga River basin, India. Hydrological Sciences Journal 2018, 63, 1020–1046. [Google Scholar] [CrossRef]
- Hewitson, B.; Crane, R. Climate downscaling: techniques and application. Climate Research 1996, 7, 85–95. [Google Scholar] [CrossRef]
- Jebeile, J.; Lam, V.; Räz, T. Understanding climate change with statistical downscaling and machine learning. Synthese 2021, 199, 1877–1897. [Google Scholar] [CrossRef]
- Tripathi, S.; Srinivas, V.; Nanjundiah, R.S. Downscaling of precipitation for climate change scenarios: A support vector machine approach. Journal of Hydrology 2006, 330, 621–640. [Google Scholar] [CrossRef]
- Vu, M.T.; Aribarg, T.; Supratid, S.; Raghavan, S.V.; Liong, S.Y. Statistical downscaling rainfall using artificial neural network: significantly wetter Bangkok? Theoretical and Applied Climatology 2016, 126, 453–467. [Google Scholar] [CrossRef]
- Kühnlein, M.; Appelhans, T.; Thies, B.; Nauss, T. Improving the accuracy of rainfall rates from optical satellite sensors with machine learning — A random forests-based approach applied to MSG SEVIRI. Remote Sensing of Environment 2014, 141, 129–143. [Google Scholar] [CrossRef]
- Salimi, A.H.; Masoompour Samakosh, J.; Sharifi, E.; Hassanvand, M.R.; Noori, A.; von Rautenkranz, H. Optimized Artificial Neural Networks-Based Methods for Statistical Downscaling of Gridded Precipitation Data. Water 2019, 11, 1653. [Google Scholar] [CrossRef]
- Wilby, R.L.; Dessai, S. Robust adaptation to climate change. Weather 2010, 65, 180–185. [Google Scholar] [CrossRef]
- Dixon, K.W.; Lanzante, J.R.; Nath, M.J.; Hayhoe, K.; Stoner, A.; Radhakrishnan, A.; Balaji, V.; Gaitán, C.F. Evaluating the stationarity assumption in statistically downscaled climate projections: is past performance an indicator of future results? Climatic Change 2016, 135, 395–408. [Google Scholar] [CrossRef]
- Seiler, C.; Hutjes, R.W.A.; Kabat, P. Climate Variability and Trends in Bolivia. Journal of Applied Meteorology and Climatology 2013, 52, 130–146. [Google Scholar] [CrossRef]
- of Water, M.; of Bolivia, E. (Eds.) Balance hídrico superficial de Bolivia: documento de difusión; Ministerio de Medio Ambiente y Agua: La Paz, Bolivia, 2016. [Google Scholar]
- Araya-Osses, D.; Casanueva, A.; Román-Figueroa, C.; Uribe, J.M.; Paneque, M. Climate change projections of temperature and precipitation in Chile based on statistical downscaling. Climate Dynamics 2020, 54, 4309–4330. [Google Scholar] [CrossRef]
- Breiman, L. Random Forests. Kluwer Academic Publishers 2001, 45, 5–32. [Google Scholar]
- Pedregosa, F.; Varoquaux, G.; Gramfort, A.; Michel, V.; Thirion, B.; Grisel, O.; Blondel, M.; Prettenhofer, P.; Weiss, R.; Dubourg, V.; Vanderplas, J.; Passos, A.; Cournapeau, D. Scikit-learn: Machine Learning in Python. Journal of Machine Learning Research 2011, 12, 2825–2830. [Google Scholar]
- Bjerre, E.; Fienen, M.N.; Schneider, R.; Koch, J.; Højberg, A.L. Assessing spatial transferability of a random forest metamodel for predicting drainage fraction. Journal of Hydrology 2022, 612, 128177. [Google Scholar] [CrossRef]
- Karatzoglou, A.; Smola, A.; Hornik, K.; Zeileis, A. kernlab – An S4 Package for Kernel Methods in R. Journal of Statistical Software 2004, 11, 2022-01–21]. [Google Scholar] [CrossRef]
- Haykin, S. Neural Networks: A comprehensive foundation, ninth indian reprint ed.; Pearson Education: India, 2005. [Google Scholar]
- Déqué, M.; Somot, S.; Sanchez-Gomez, E.; Goodess, C.M.; Jacob, D.; Lenderink, G.; Christensen, O.B. The spread amongst ENSEMBLES regional scenarios: regional climate models, driving general circulation models and interannual variability. Climate Dynamics 2012, 38, 951–964. [Google Scholar] [CrossRef]
- Déqué, M.; Rowell, D.P.; Lüthi, D.; Giorgi, F.; Christensen, J.H.; Rockel, B.; Jacob, D.; Kjellström, E.; de Castro, M.; van den Hurk, B. An intercomparison of regional climate simulations for Europe: assessing uncertainties in model projections. Climatic Change 2007, 81, 53–70. [Google Scholar] [CrossRef]
- Hosseinzadehtalaei, P.; Tabari, H.; Willems, P. Precipitation intensity–duration–frequency curves for central Belgium with an ensemble of EURO-CORDEX simulations, and associated uncertainties. Atmospheric Research 2018, 200, 1–12. [Google Scholar] [CrossRef]
- Tabari, H.; Hosseinzadehtalaei, P.; AghaKouchak, A.; Willems, P. Latitudinal heterogeneity and hotspots of uncertainty in projected extreme precipitation. Environmental Research Letters 2019, 14, 124032. [Google Scholar] [CrossRef]
- Räty, O.; Räisänen, J.; Ylhäisi, J.S. Evaluation of delta change and bias correction methods for future daily precipitation: intermodel cross-validation using ENSEMBLES simulations. Climate Dynamics 2014, 42, 2287–2303. [Google Scholar] [CrossRef]
- Campozano, L.; Célleri, R.; Trachte, K.; Bendix, J.; Samaniego, E. Rainfall and Cloud Dynamics in the Andes: A Southern Ecuador Case Study. Advances in Meteorology 2016, 2016, 1–15. [Google Scholar] [CrossRef]
- Ruiz-Hernández, J.C.; Condom, T.; Ribstein, P.; Le Moine, N.; Espinoza, J.C.; Junquas, C.; Villacís, M.; Vera, A.; Muñoz, T.; Maisincho, L.; Campozano, L.; Rabatel, A.; Sicart, J.E. Spatial variability of diurnal to seasonal cycles of precipitation from a high-altitude equatorial Andean valley to the Amazon Basin. Journal of Hydrology: Regional Studies 2021, 38, 100924. [Google Scholar] [CrossRef]
- Rivera, J.A.; Arnould, G. Evaluation of the ability of CMIP6 models to simulate precipitation over Southwestern South America: Climatic features and long-term trends (1901–2014). Atmospheric Research 2020, 241, 104953. [Google Scholar] [CrossRef]
- Mandal, S.; Breach, P.A.; Simonovic, S.P. Uncertainty in Precipitation Projection under Changing Climate Conditions: A Regional Case Study. American Journal of Climate Change 2016, 05, 116–132. [Google Scholar] [CrossRef]
- Lafaysse, M.; Hingray, B.; Mezghani, A.; Gailhard, J.; Terray, L. Internal variability and model uncertainty components in future hydrometeorological projections: The Alpine Durance basin. Water Resources Research 2014, 50, 3317–3341. [Google Scholar] [CrossRef]
- Boé, J.; Terray, L.; Habets, F.; Martin, E. Statistical and dynamical downscaling of the Seine basin climate for hydro-meteorological studies. International Journal of Climatology 2007, 27, 1643–1655. [Google Scholar] [CrossRef]
- Mendoza Paz, S.; Willems, P. Uncovering the strengths and weaknesses of an ensemble of quantile mapping methods for downscaling precipitation change in Southern Africa. Journal of Hydrology: Regional Studies 2022, 41, 101104. [Google Scholar] [CrossRef]
- Meehl, G.; Stocker, T.; Collins, W.; Friedlingstein, P.; Gaye, A.; Gregory, J.; Kitoh, A.; Knutti, R.; Murphy, J.; Noda, A.; Raper, S.; Watterson, I.; Weaver, A.; Zhao, Z. Global Climate Projections. In: Climate Change 2007: The Physical Science Basis. Contribution of Working Group I to the Fourth Assessment Report of the Intergovernmental Panel on Climate Change [Solomon, S., D. Qin, M. Manning, Z. Chen, M. Marquis, K.B. Averyt, M. Tignor and H.L. Miller (eds.)]. Cambridge University Press, Cambridge, United Kingdom and New York, NY, USA, 2007.
- Nuñez, M.N.; Solman, S.A.; Cabré, M.F. Regional climate change experiments over southern South America. II: Climate change scenarios in the late twenty-first century. Climate Dynamics 2009, 32, 1081–1095. [Google Scholar] [CrossRef]
- Urrutia, R.; Vuille, M. Climate change projections for the tropical Andes using a regional climate model: Temperature and precipitation simulations for the end of the 21st century. Journal of Geophysical Research 2009, 114, D02108. [Google Scholar] [CrossRef]
- Abadi, A.M.; Oglesby, R.; Rowe, C.; Mawalagedara, R. Evaluation of GCMs historical simulations of monthly and seasonal climatology over Bolivia. Climate Dynamics 2018, 51, 733–754. [Google Scholar] [CrossRef]
- Cabré, M.F.; Solman, S.; Núñez, M. Regional climate change scenarios over southern South America for future climate (2080-2099) using the MM5 Model. Mean, interannual variability and uncertainties. Atmósfera, 2016; [Online; accessed 2023-03-27]. [Google Scholar] [CrossRef]









| ID | Name | Lat. [°] | Lon. [°] | Height [MSL] | Zone |
|---|---|---|---|---|---|
| 1 | Camiri | -20.05 | -63.57 | 810 | Chaco lowlands |
| 2 | Cobija | -11.03 | -68.78 | 235 | Amazon lowlands |
| 3 | Cochabamba | -17.42 | -66.17 | 2548 | Andean slopes |
| 4 | El Alto | -16.51 | -68.2 | 4071 | Highlands |
| 5 | Guayaramerin | -10.82 | -65.37 | 130 | Amazon lowlands |
| 6 | Oruro | -17.97 | -67.12 | 3702 | Highlands |
| 7 | Potosí | -19.53 | -65.73 | 4100 | Highlands |
| 8 | Rurrenabaque | -14.43 | -67.5 | 204 | Amazon lowlands |
| 9 | Sucre | -19.01 | -65.29 | 2904 | Andean slopes |
| 10 | Tarija | -21.53 | -64.72 | 1875 | Andean slopes |
| 11 | Trinidad | -14.82 | -64.91 | 156 | Amazon lowlands |
| 12 | Trompillo | -17.75 | -63.17 | 413 | Amazon lowlands |
| 13 | Yacuiba | -22.02 | -63.7 | 580 | Chaco lowlands |
| Nr. | Model | Resolution | Historical | SSP1-2.6 | SSP2-4.5 | SSP3-7.0 | SSP5-8.5 | Variant label |
|---|---|---|---|---|---|---|---|---|
| 1 | ACCESS-CM2 | 1.9 x 1.3 | 1 | 1 | 1 | 1 | 1 | r1i1p1f1 |
| 2 | ACCESS-ESM1-5 | 1.9 x 1.3 | 1 | 1 | 1 | 1 | 1 | r1i1p1f1 |
| 3 | CanESM5 | 2.8 x 2.8 | 25 | 1 | 1 | 1 | 1 | r1i1p1f1-r25i1p1f1 |
| 4 | CESM2-WACCM | 1.3 x 0.9 | 1 | 1 | 1 | 1 | 1 | r1i1p1f1 |
| 5 | CMCC-CM2-SR5 | 1 x 1 | 1 | 1 | 1 | 1 | 1 | r1i1p1f1 |
| 6 | EC-Earth3 | 0.7 x 0.7 | 1 | 1 | 1 | 1 | 1 | r1i1p1f1 |
| 7 | EC-Earth3-Veg | 0.7 x 0.7 | 1 | 1 | 1 | 1 | 1 | r1i1p1f1 |
| 8 | EC-Earth3-Veg-LR | 1.1 x 1.1 | 1 | 1 | 1 | 1 | 1 | r1i1p1f1 |
| 9 | FGOALS-g3 | 2 x 2 | 1 | 1 | 1 | 1 | 1 | r1i1p1f1 |
| 10 | IITM-ESM | 1.9 x 1.9 | 1 | 1 | 1 | 1 | 1 | r1i1p1f1 |
| 11 | INM-CM4-8 | 2 x 1.5 | 1 | 1 | 1 | 1 | 1 | r1i1p1f1 |
| 12 | INM-CM5-0 | 2 x 1.5 | 1 | 1 | 1 | 1 | 1 | r1i1p1f1 |
| 13 | IPSL-CM6A-LR | 2.5 x 1.3 | 1 | 1 | 1 | 1 | 1 | r1i1p1f1 |
| 14 | KACE-1-0-G | 1.9 x 1.3 | 1 | 1 | 1 | 1 | 1 | r1i1p1f1 |
| 15 | MIROC6 | 1.4 x 1.4 | 1 | 1 | 1 | 1 | 1 | r1i1p1f1 |
| 16 | MPI-ESM1-2-HR | 0.9 x 0.9 | 1 | 1 | 1 | 1 | 1 | r1i1p1f1 |
| 17 | MPI-ESM1-2-LR | 1.9 x 1.9 | 1 | 1 | 1 | 1 | 1 | r1i1p1f1 |
| 18 | MRI-ESM2-0 | 1.1 x 1.1 | 1 | 1 | 1 | 1 | 1 | r1i1p1f1 |
| 19 | NorESM2-LM | 2.5 x 1.9 | 1 | 1 | 1 | 1 | 1 | r1i1p1f1 |
| 20 | NorESM2-MM | 1.3 x 0.9 | 1 | 1 | 1 | 1 | 1 | r1i1p1f1 |
| Total number of runs | 44 | 20 | 20 | 20 | 20 |
| Name | Description | Units | Link |
|---|---|---|---|
| R1 | Summer precipitation | mm/season | Droughts |
| R2 | Spring precipitation | mm/season | Droughts |
| R3 | Autumn precipitation | mm/season | Droughts |
| R4 | Winter precipitation | mm/season | Droughts |
| R5 | Maximum length of the dry spells | days | Droughts |
| R6 | Annual precipitation | mm/year | Droughts |
| R7 | Maximum daily precipitation of a 30-year return period | mm/day | Floods |
| R8 | Maximum daily precipitation of a 10-year return period | mm/day | Floods |
| R9 | Annual count of days with precipitation greater than 10 mm | - | Floods |
| R10 | Annual count of days with precipitation greater than 20 mm | - | Floods |
| R11 | Annual count of days with precipitation greater than 30 mm | - | Floods |
| Future scenario SSP1-2.6 | |||||||||||
|---|---|---|---|---|---|---|---|---|---|---|---|
| Station | R1 | R2 | R3 | R4 | R5 | R6 | R7 | R8 | R9 | R10 | R11 |
| El Alto | NCCS | NCCS | 1.25 | NR | 0.68 | 1.12 | 0.76 | NCCS | 1.06 | 1.63 | 0.74 |
| Oruro | 1.1 | 0.74 | 1.26 | NR | NCCS | 1.12 | NCCS | NCCS | NR | NR | NR |
| Potosi | 1.09 | 0.79 | NR | NR | NCCS | 1.05 | NR | NR | 1.08 | 1.33 | NR |
| Cochabamba | 1.06 | 1.33 | NR | NR | 0.63 | 1.15 | NCCS | NCCS | NR | 1.47 | 1.38 |
| Sucre | NR | 0.77 | NCCS | NR | NR | NR | NCCS | NR | NR | 1.2 | 1.25 |
| Tarija | 1.35 | NR | 1.89 | NR | NCCS | 1.51 | 0.79 | NCCS | 1.57 | 1.64 | NR |
| Cobija | 1.15 | NCCS | NCCS | NR | NR | NCCS | 0.66 | NR | NCCS | NCCS | NR |
| Guayaramerin | NCCS | NR | 1.28 | NR | NCCS | NR | 0.65 | NR | 1.14 | 1.19 | 1.3 |
| Rurrenabaque | NR | 1.18 | 0.78 | 0.74 | NR | 0.92 | 0.64 | 0.7 | NR | NR | NR |
| Trinidad | NR | 0.77 | NR | 1.54 | NCCS | 0.92 | 0.54 | 0.77 | 0.86 | 0.86 | NCCS |
| Trompillo | NR | NR | NR | 1.65 | NCCS | NR | NCCS | NCCS | NR | 1.51 | 1.82 |
| Camiri | NR | 1.31 | NR | NR | 0.78 | 1.18 | NR | NR | NR | 1.25 | 1.3 |
| Yacuiba | NR | 1.39 | 1.32 | NCCS | 0.7 | NR | NCCS | 1.19 | NR | NR | NR |
| Future scenario SSP5-8.5 | |||||||||||
|---|---|---|---|---|---|---|---|---|---|---|---|
| Station | R1 | R2 | R3 | R4 | R5 | R6 | R7 | R8 | R9 | R10 | R11 |
| El Alto | 1.42 | NR | 1.88 | NR | 0.68 | 1.59 | 0.76 | 0.82 | 1.47 | NR | NR |
| Oruro | 1.6 | NR | 2.07 | NR | 0.55 | 1.6 | 0.7 | NR | NR | NR | NR |
| Potosi | NR | NR | 1.25 | NR | NR | 1.08 | NR | NR | NR | 1.49 | NR |
| Cochabamba | 1.14 | 1.47 | 1.32 | NR | 0.61 | 1.31 | 0.83 | NR | 1.17 | 2.36 | NR |
| Sucre | NR | 0.84 | 1.13 | NR | NR | 1.08 | NCCS | NR | NR | 1.28 | NR |
| Tarija | NR | 1.54 | 2.1 | NR | NR | 1.5 | 0.79 | NR | 1.62 | 1.49 | NR |
| Cobija | NR | 0.82 | 1.09 | NR | NR | 0.94 | NCCS | NCCS | 0.9 | NCCS | 0.7 |
| Guayaramerin | NCCS | NR | 1.3 | NR | NCCS | NR | 0.65 | 0.77 | NR | 1.24 | 1.47 |
| Rurrenabaque | 0.65 | 0.83 | 0.53 | 0.66 | NR | 0.69 | NCCS | NCCS | 0.73 | 0.69 | 0.74 |
| Trinidad | NR | 0.72 | NR | 1.47 | NCCS | 0.86 | NCCS | 0.74 | 0.88 | 0.83 | NCCS |
| Trompillo | NR | NR | NR | NR | NCCS | NR | NCCS | NCCS | NR | 2.33 | NR |
| Camiri | 1.84 | 1.76 | 2.07 | NR | NCCS | 1.9 | NR | NR | NR | 2.17 | 2.89 |
| Yacuiba | NR | 2.45 | 1.89 | NR | 0.69 | NR | NCCS | 1.13 | NR | NR | NR |
Disclaimer/Publisher’s Note: The statements, opinions and data contained in all publications are solely those of the individual author(s) and contributor(s) and not of MDPI and/or the editor(s). MDPI and/or the editor(s) disclaim responsibility for any injury to people or property resulting from any ideas, methods, instructions or products referred to in the content. |
© 2024 by the authors. Licensee MDPI, Basel, Switzerland. This article is an open access article distributed under the terms and conditions of the Creative Commons Attribution (CC BY) license (https://creativecommons.org/licenses/by/4.0/).
